Официальное опубликование правовых актов
ОФИЦИАЛЬНОЕ ОПУБЛИКОВАНИЕ
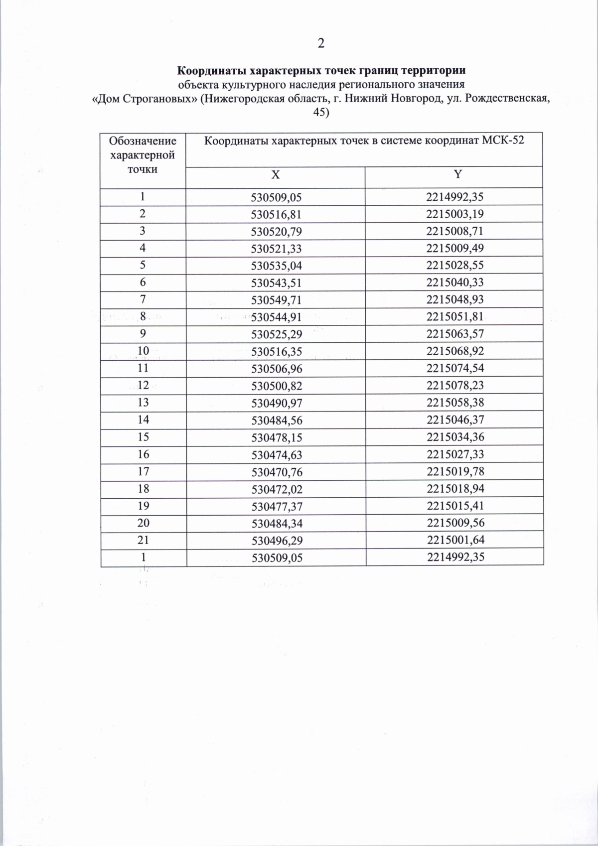
Приказ Управления государственной охраны объектов культурного наследия Нижегородской области от 11.02.2026 № 49
"Об утверждении границ и режима использования территории объекта культурного наследия регионального значения "Дом Строгановых" (Нижегородская область, г. Нижний Новгород, ул. Рождественская, 45)"
(Зарегистрирован 03.03.2026 № 29949-518-049)
Номер опубликования: 5201202603050007
Дата опубликования: 05.03.2026
Страница №4 из 7:
Увеличить