Официальное опубликование правовых актов
ОФИЦИАЛЬНОЕ ОПУБЛИКОВАНИЕ
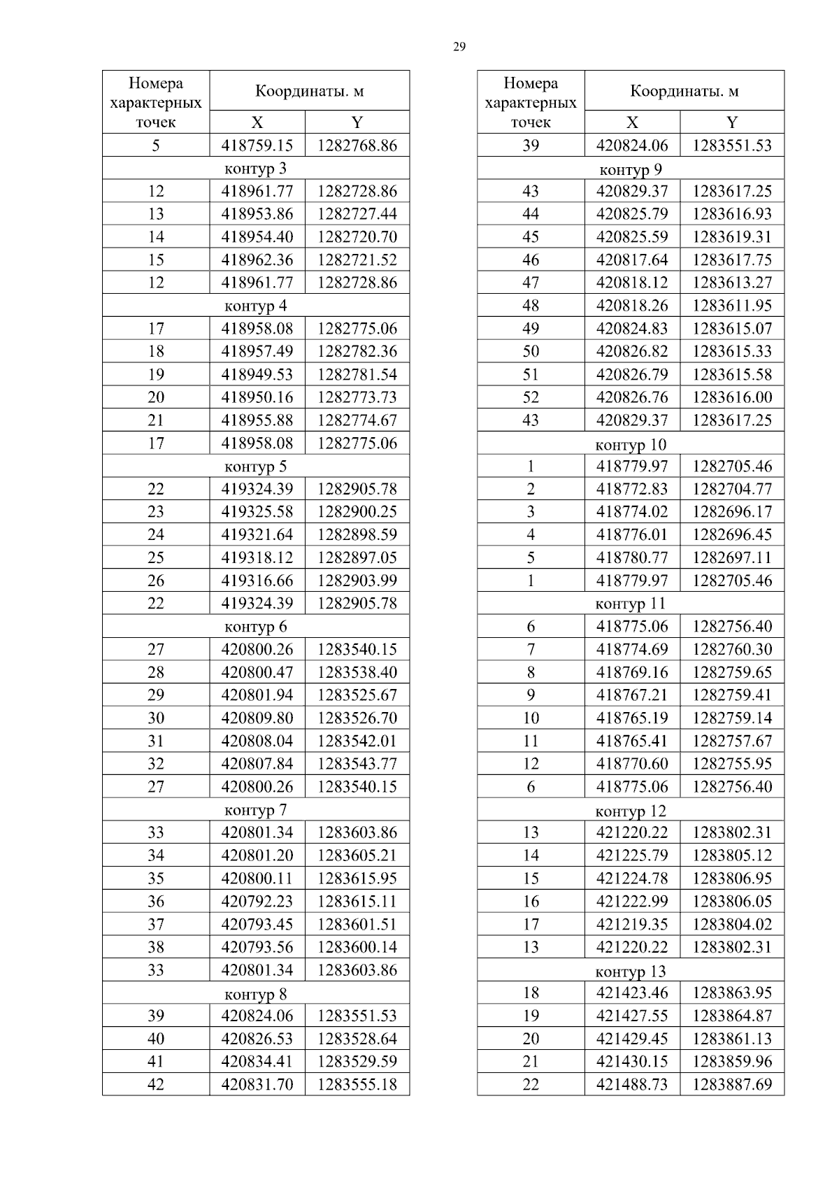
Приказ Министерства градостроительной деятельности и развития агломераций Нижегородской области от 26.12.2025 № 06-01-03/40
"Об утверждении проекта планировки территории, расположенной в районе рабочих поселков Досчатое, Ближне-Песочное, Шиморское и деревни Грязной в городском округе город Выкса Нижегородской области"
(Зарегистрирован 02.02.2026 № 29831-330-006-01-03/40)
Номер опубликования: 5201202602050016
Дата опубликования: 05.02.2026
Страница №31 из 39:
Увеличить