Официальное опубликование правовых актов
ОФИЦИАЛЬНОЕ ОПУБЛИКОВАНИЕ
Приказ Управления государственной охраны объектов культурного наследия Нижегородской области от 29.10.2025 № 294
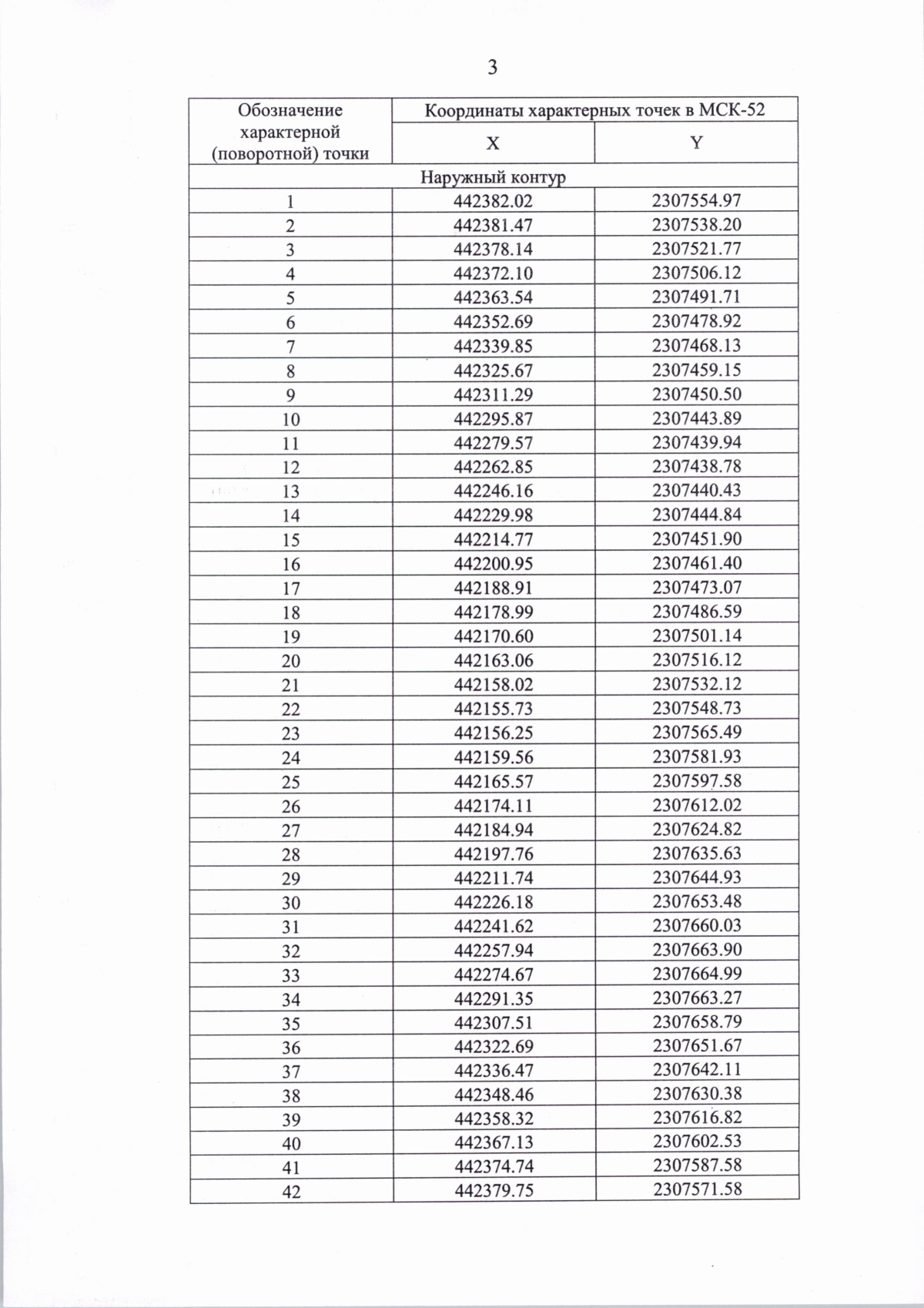
"Об утверждении описания местоположения границ защитной зоны объекта культурного наследия регионального значения "Жилой дом" (Нижегородская область, Сергачский муниципальный округ, г. Сергач, ул. Советская, 47), режима использования земель в границах защитной зоны объекта культурного наследия"
(Зарегистрирован 27.11.2025 № 29010-518-294)
Номер опубликования: 5201202511280003
Дата опубликования: 28.11.2025
Страница №5 из 7:
Увеличить