Официальное опубликование правовых актов
ОФИЦИАЛЬНОЕ ОПУБЛИКОВАНИЕ
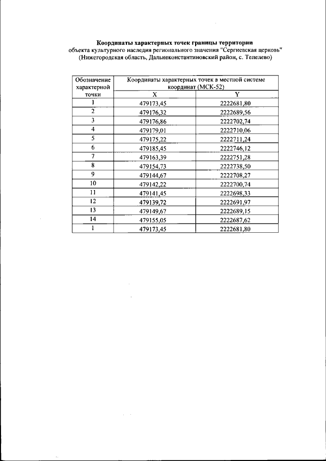
Приказ Управления государственной охраны объектов культурного наследия Нижегородской области от 09.03.2023 № 64
"Об утверждении границы и режима использования территории объекта культурного наследия регионального значения "Сергиевская церковь", расположенного в с. Тепелево Дальнеконстантиновского муниципального округа Нижегородской области"
(Зарегистрирован 20.03.2023 № 22696-518-064)
Номер опубликования: 5201202303220003
Дата опубликования: 22.03.2023
Страница №4 из 6:
Увеличить