Официальное опубликование правовых актов
ОФИЦИАЛЬНОЕ ОПУБЛИКОВАНИЕ
Приказ Министерства градостроительной деятельности и развития агломераций Нижегородской области от 07.11.2022 № 06-01-03/58
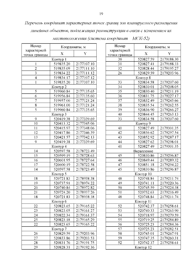
"Об утверждении документации по планировке территории, расположенной от ул. Самохвалова до пр. Ленинского Комсомола, ул. Комбрига Патоличева, пр. Циолковского в городском округе город Дзержинск Нижегородской области"
(Зарегистрирован 17.11.2022 № 21356-330-006-01-03/58)
Номер опубликования: 5201202211180001
Дата опубликования: 18.11.2022
Страница №21 из 70:
Увеличить