Официальное опубликование правовых актов
ОФИЦИАЛЬНОЕ ОПУБЛИКОВАНИЕ
Приказ Министерства градостроительной деятельности и развития агломераций Нижегородской области от 17.05.2022 № 06-01-03/15
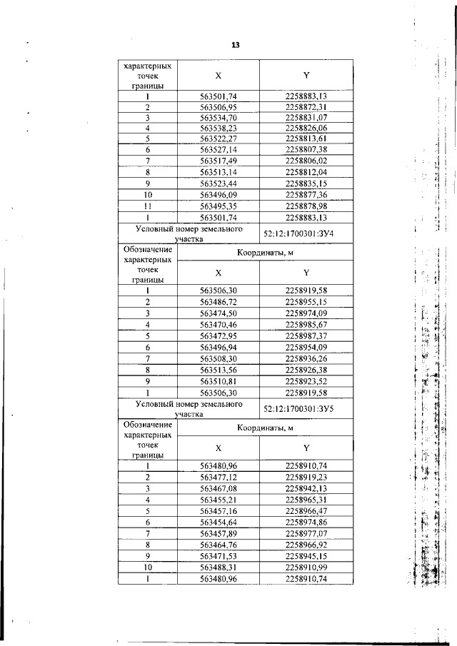
"Об утверждении документации по планировке территории участка автомобильной дороги (22 ОП МЗ 22Н-3634) Подъезд к д. Аристово от а/д Семенов - Хахалы - Феофаниха с искусственным сооружением через р. Ухтыш на км 3+044 в городском округе Семеновский Нижегородской области"
(Зарегистрирован 14.06.2022 № 20336-330-006-01-03/15)
Номер опубликования: 5201202206150012
Дата опубликования: 15.06.2022
Страница №15 из 20:
Увеличить