Официальное опубликование правовых актов
ОФИЦИАЛЬНОЕ ОПУБЛИКОВАНИЕ
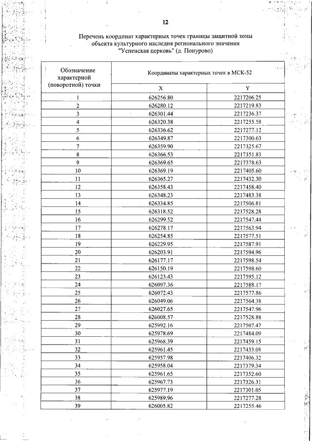
Приказ Управления государственной охраны объектов культурного наследия Нижегородской области от 09.09.2020 № 259
"Об утверждении описания местоположения границ защитных зон объектов культурного наследия, расположенных на территории Ковернинского района Нижегородской области, режима использования земель в границах защитных зон объектов культурного наследия"
(Зарегистрирован 28.09.2020 № 15551-518-259)
Номер опубликования: 5201202010020004
Дата опубликования: 02.10.2020
Страница №14 из 21:
Увеличить