Официальное опубликование правовых актов
ОФИЦИАЛЬНОЕ ОПУБЛИКОВАНИЕ
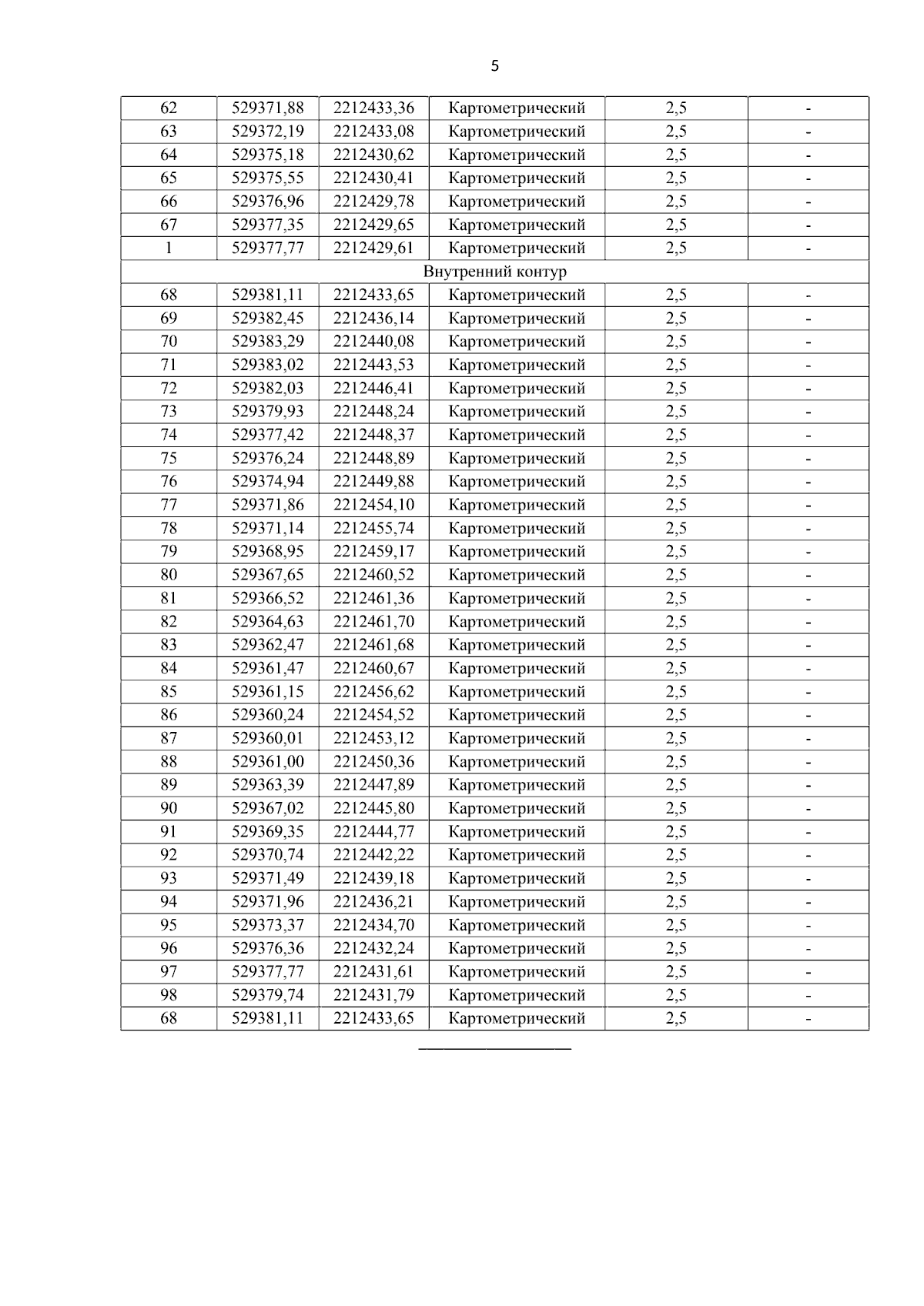
Указ Губернатора Нижегородской области от 13.01.2026 № 4
"Об установлении охранной зоны памятника природы регионального значения "Два тополя — долгожителя по ул. Чкалова, 11"
Номер опубликования: 5200202601160003
Дата опубликования: 16.01.2026
Страница №7 из 10:
Увеличить