Официальное опубликование правовых актов
ОФИЦИАЛЬНОЕ ОПУБЛИКОВАНИЕ
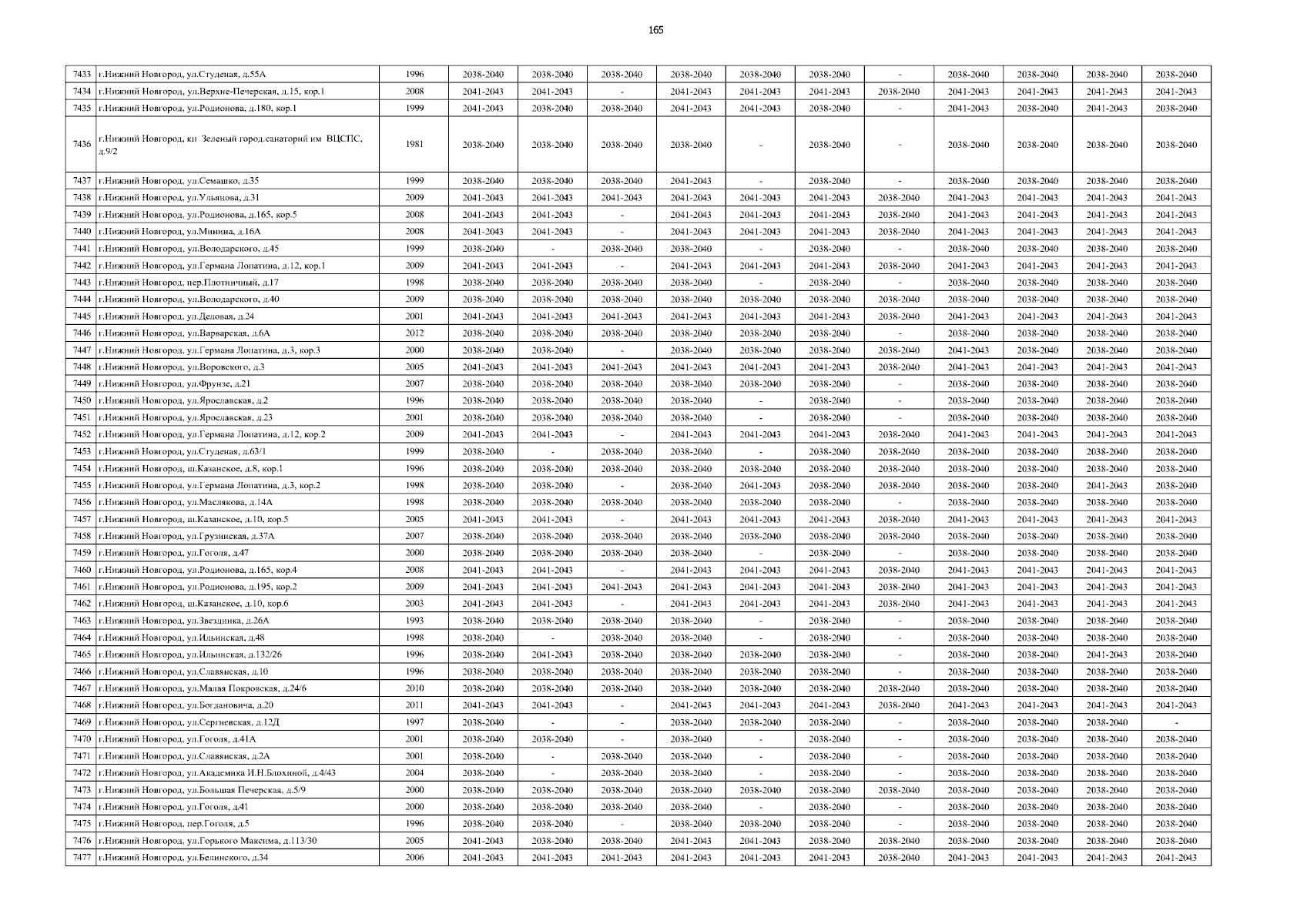
Постановление Правительства Нижегородской области от 24.12.2025 № 777
"О внесении изменений в региональную программу капитального ремонта общего имущества в многоквартирных домах, расположенных на территории Нижегородской области, утвержденную постановлением Правительства Нижегородской области от 1 апреля 2014 г. № 208"
Номер опубликования: 5200202512250016
Дата опубликования: 25.12.2025
Страница №525 из 671:
Увеличить