Официальное опубликование правовых актов
ОФИЦИАЛЬНОЕ ОПУБЛИКОВАНИЕ
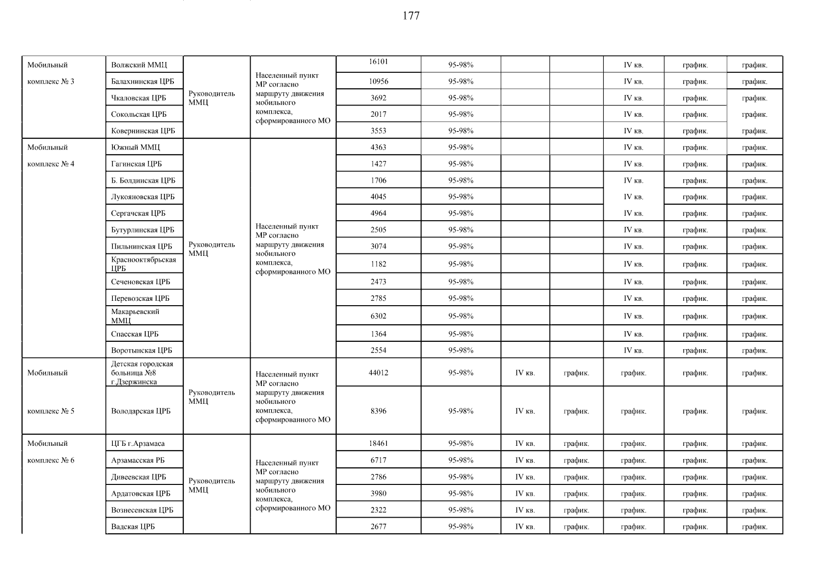
Постановление Правительства Нижегородской области от 10.12.2025 № 740
"Об утверждении региональной программы Нижегородской области "Охрана материнства и детства"
Номер опубликования: 5200202512120004
Дата опубликования: 12.12.2025
Страница №178 из 223:
Увеличить