Официальное опубликование правовых актов
ОФИЦИАЛЬНОЕ ОПУБЛИКОВАНИЕ
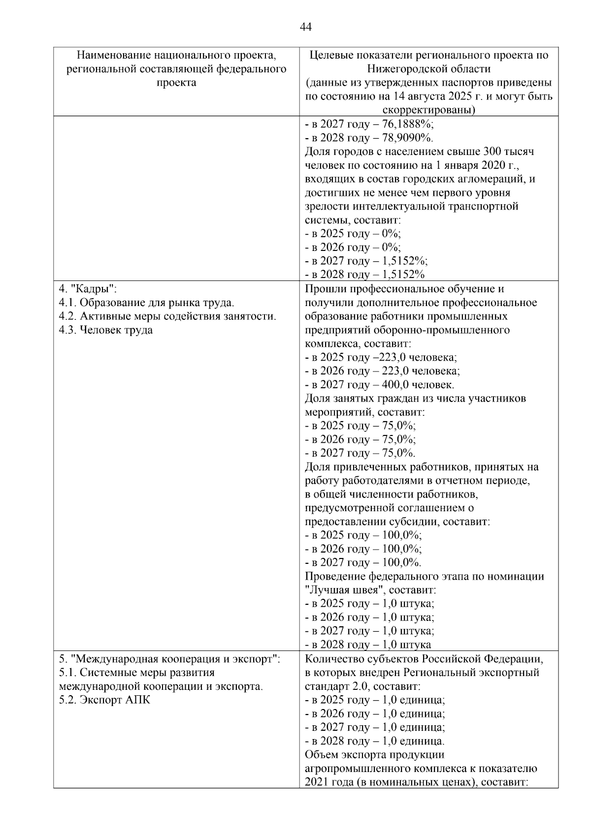
Постановление Правительства Нижегородской области от 23.10.2025 № 659
"О прогнозе социально-экономического развития Нижегородской области на среднесрочный период (на 2026 год и на плановый период 2027 и 2028 годов)"
Номер опубликования: 5200202510270003
Дата опубликования: 27.10.2025
Страница №45 из 119:
Увеличить