Официальное опубликование правовых актов
ОФИЦИАЛЬНОЕ ОПУБЛИКОВАНИЕ
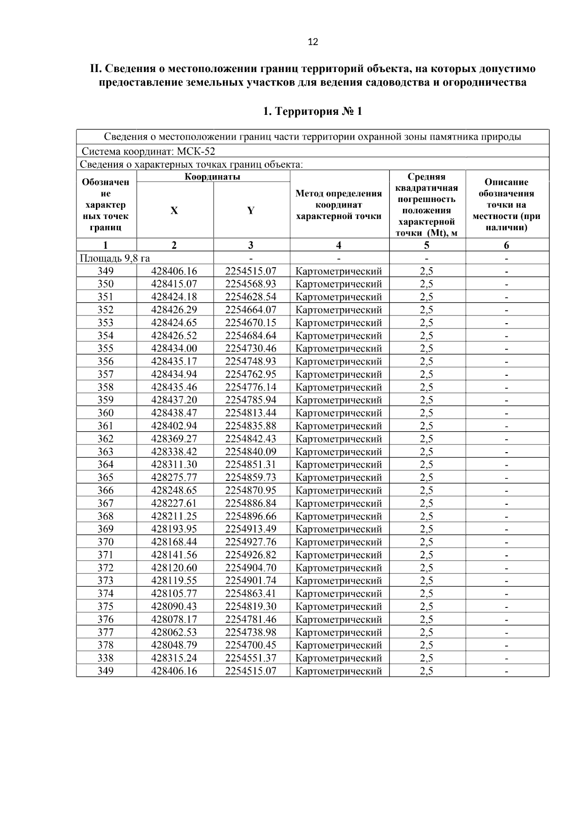
Указ Губернатора Нижегородской области от 16.10.2025 № 216
"Об установлении охранной зоны памятника природы регионального значения "Озеро Чембасовское"
Номер опубликования: 5200202510200006
Дата опубликования: 20.10.2025
Страница №14 из 22:
Увеличить