Официальное опубликование правовых актов
ОФИЦИАЛЬНОЕ ОПУБЛИКОВАНИЕ
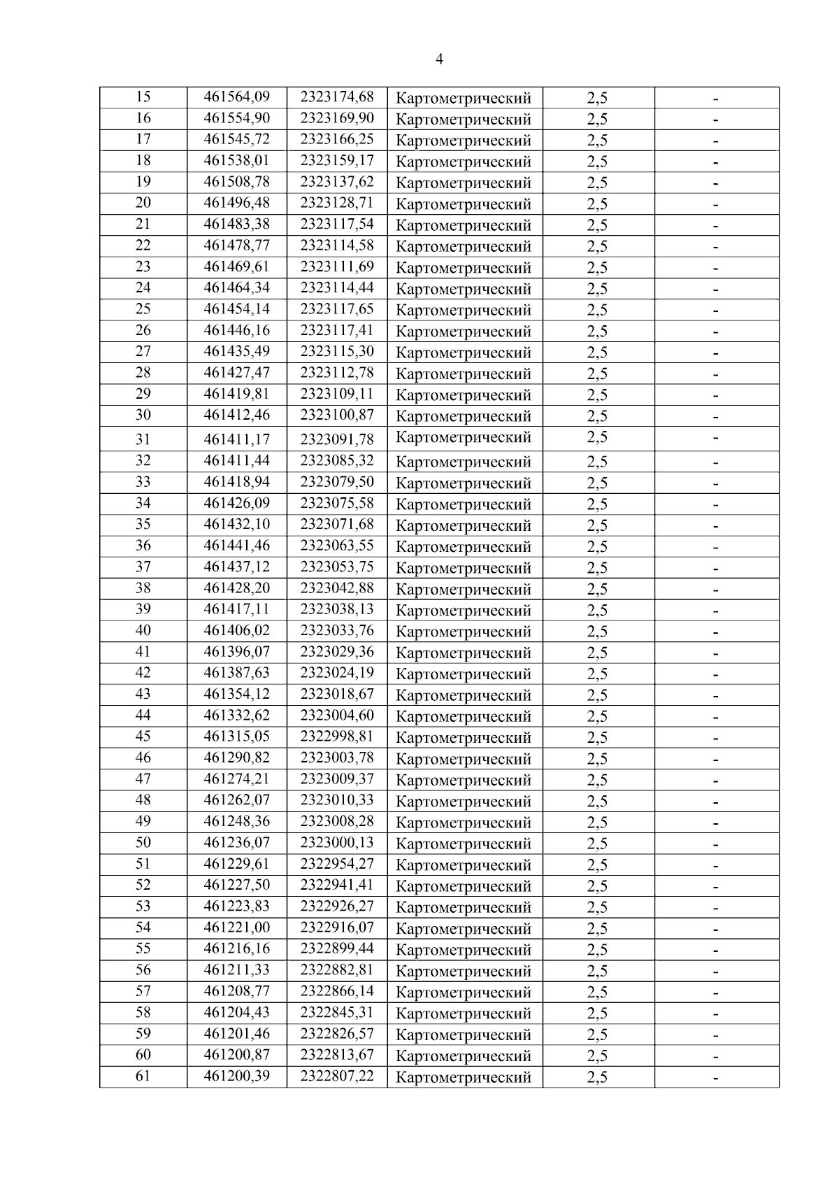
Указ Губернатора Нижегородской области от 24.09.2025 № 198
"Об установлении охранной зоны памятника природы регионального значения "Парк с. Покров - Полянка (Ильинское)"
Номер опубликования: 5200202509260003
Дата опубликования: 26.09.2025
Страница №6 из 15:
Увеличить