Официальное опубликование правовых актов
ОФИЦИАЛЬНОЕ ОПУБЛИКОВАНИЕ
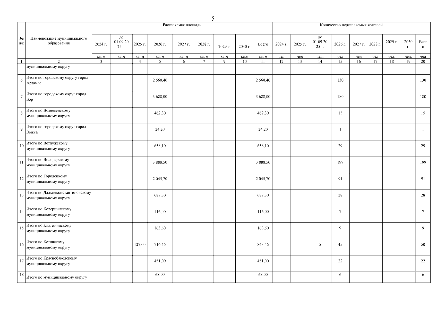
Постановление Правительства Нижегородской области от 13.08.2025 № 541
"О внесении изменений в региональную адресную программу "Переселение граждан на территории Нижегородской области в период с 2024 по 2030 год из аварийного жилищного фонда, признанного таковым с 1 января 2017 г. до 1 января 2022 г.", утвержденную постановлением Правительства Нижегородской области от 4 июля 2024 г. № 399"
Номер опубликования: 5200202508150004
Дата опубликования: 15.08.2025
Страница №222 из 261:
Увеличить