Официальное опубликование правовых актов
ОФИЦИАЛЬНОЕ ОПУБЛИКОВАНИЕ
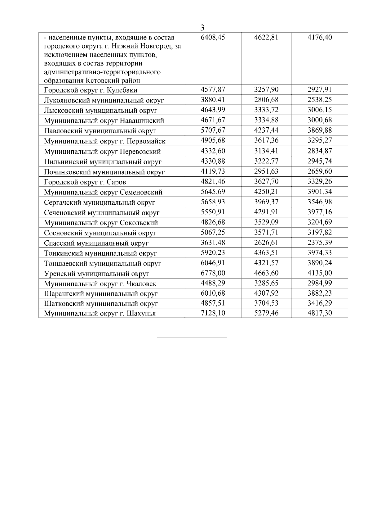
Постановление Правительства Нижегородской области от 07.08.2025 № 524
"О региональных стандартах стоимости жилищно-коммунальных услуг‚ используемых для расчета субсидий на оплату жилого помещения и коммунальных услуг на 3—4 кварталы 2025 года"
Номер опубликования: 5200202508080005
Дата опубликования: 08.08.2025
Страница №9 из 12:
Увеличить