Официальное опубликование правовых актов
ОФИЦИАЛЬНОЕ ОПУБЛИКОВАНИЕ
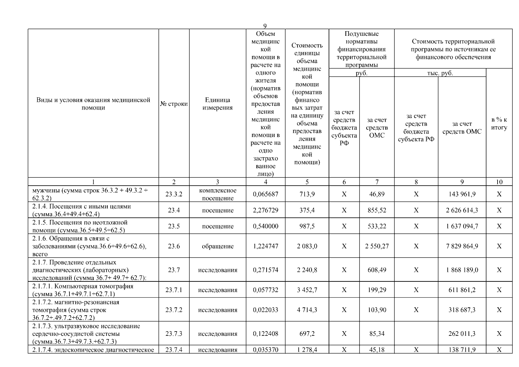
Постановление Правительства Нижегородской области от 04.03.2025 № 163
"О внесении изменений в территориальную программу государственных гарантий бесплатного оказания гражданам медицинской помощи в Нижегородской области на 2025 год и на плановый период 2026 и 2027 годов, утвержденную постановлением Правительства Нижегородской области от 24 декабря 2024 г. № 846"
Номер опубликования: 5200202503070015
Дата опубликования: 07.03.2025
Страница №131 из 614:
Увеличить