Официальное опубликование правовых актов
ОФИЦИАЛЬНОЕ ОПУБЛИКОВАНИЕ
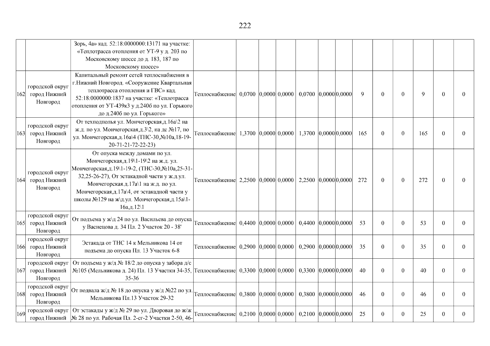
Постановление Правительства Нижегородской области от 23.12.2024 № 828
"О внесении изменений в государственную региональную программу Нижегородской области "Модернизация систем коммунальной инфраструктуры (2023—2027 годы)", утвержденную постановлением Правительства Нижегородской области от 10 июля 2023 г. № 610"
Номер опубликования: 5200202412240002
Дата опубликования: 24.12.2024
Страница №223 из 271:
Увеличить