Официальное опубликование правовых актов
ОФИЦИАЛЬНОЕ ОПУБЛИКОВАНИЕ
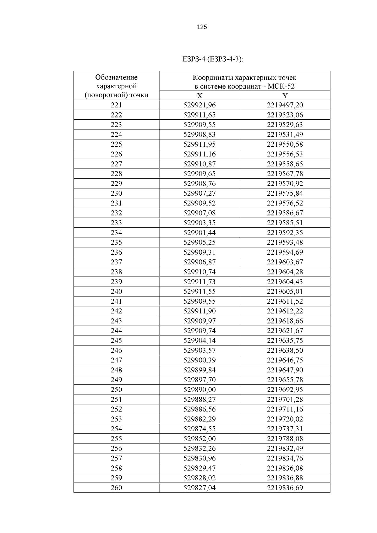
Постановление Правительства Нижегородской области от 04.10.2024 № 611
"Об установлении объединенной зоны охраны объектов культурного наследия, расположенных по ул. Приволжская, Казанская набережная, Красная слобода в г. Нижнем Новгороде, утверждении требований к градостроительным регламентам в границах территорий данных зон"
Номер опубликования: 5200202410080003
Дата опубликования: 08.10.2024
Страница №128 из 160:
Увеличить