Официальное опубликование правовых актов
ОФИЦИАЛЬНОЕ ОПУБЛИКОВАНИЕ
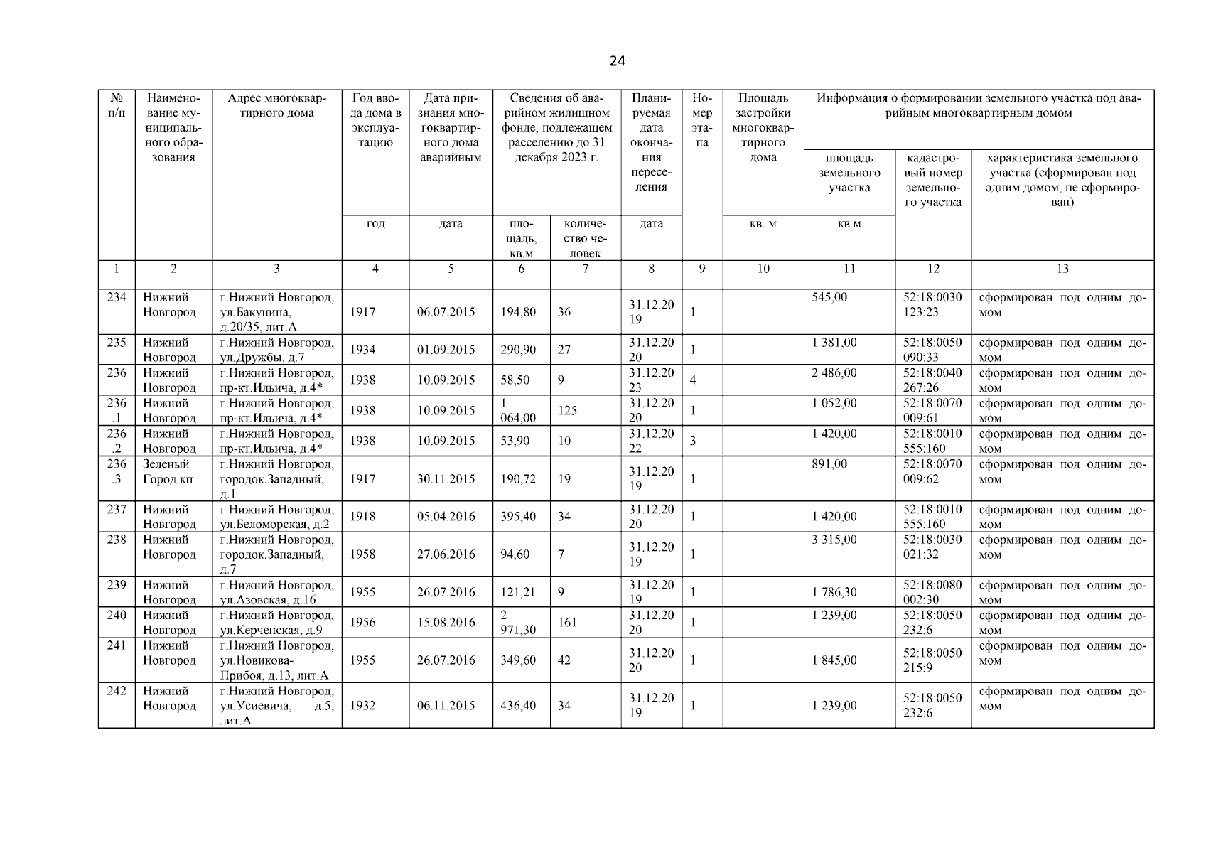
Постановление Правительства Нижегородской области от 27.02.2024 № 78
"О внесении изменений в государственную региональную адресную программу "Переселение граждан из аварийного жилищного фонда на территории Нижегородской области на 2019—2023 годы", утвержденную постановлением Правительства Нижегородской области от 29 марта 2019 г. № 168"
Номер опубликования: 5200202402280004
Дата опубликования: 28.02.2024
Страница №38 из 169:
Увеличить