Официальное опубликование правовых актов
ОФИЦИАЛЬНОЕ ОПУБЛИКОВАНИЕ
Постановление Правительства Нижегородской области от 22.02.2024 № 74
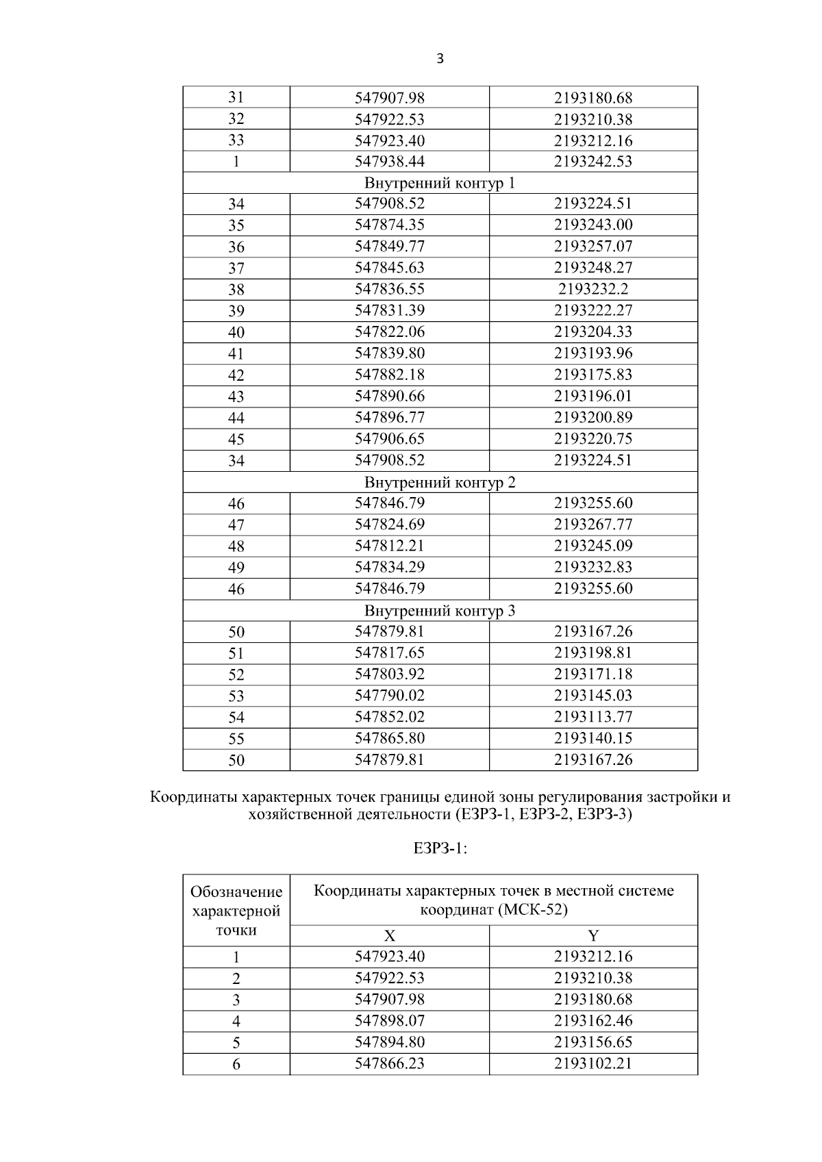
"Об установлении объединенной зоны охраны объектов культурного наследия регионального значения, расположенных в г. Балахне Нижегородской области, утверждении требований к градостроительным регламентам в границах территорий данной зоны"
Номер опубликования: 5200202402260003
Дата опубликования: 26.02.2024
Страница №5 из 14:
Увеличить