Официальное опубликование правовых актов
ОФИЦИАЛЬНОЕ ОПУБЛИКОВАНИЕ
Постановление Правительства Нижегородской области от 02.02.2024 № 37
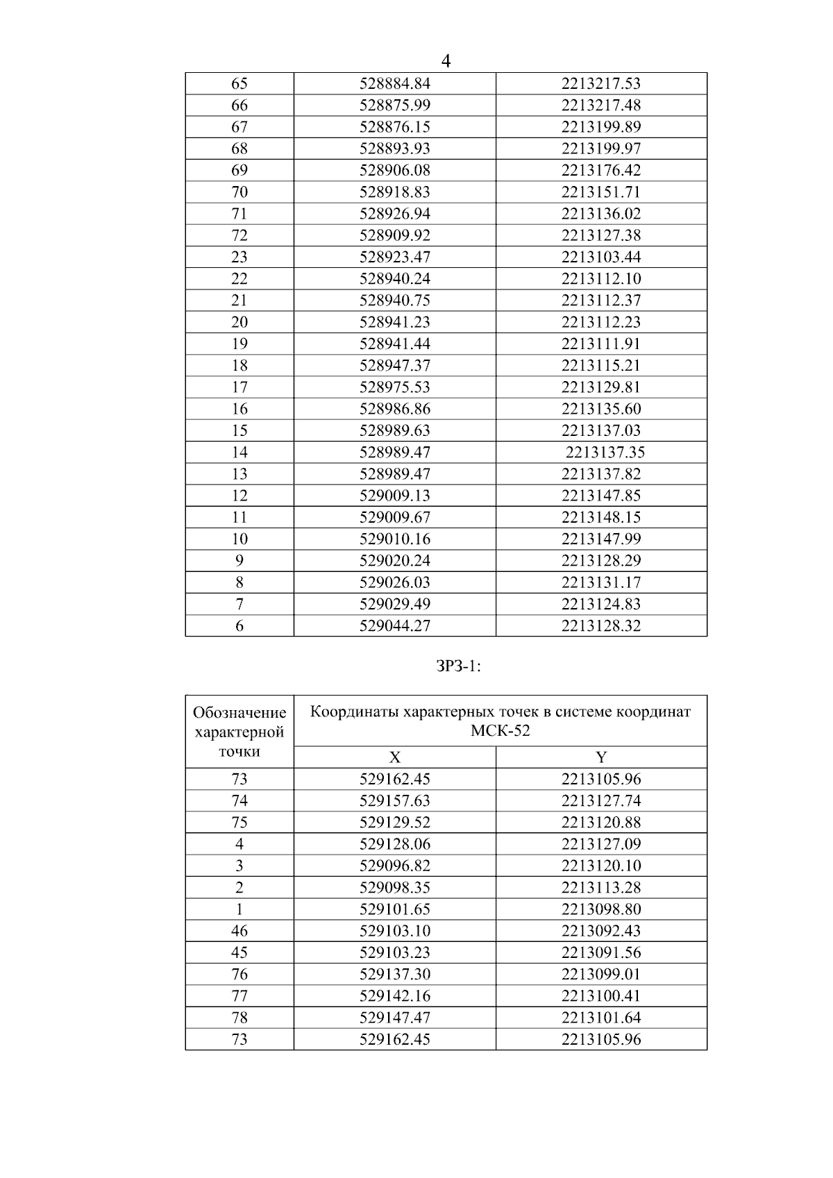
"Об установлении зон охраны объекта культурного наследия регионального значения "Комплекс мукомольной мельницы Я.Е. Башкирова"‚ включая входящие в состав ансамбля объекты культурного наследия регионального значения "Здание заводоуправления" (ул. Интернациональная, 96а (литера А)), "Корпус мельницы" (ул. Интернациональная, 96 (литера М)), "Общежитие для рабочих" (ул. Интернациональная, 94 (литера А2), ул. Революционная‚ 49 (литера Б)), расположенного в г. Нижнем Новгороде, и утверждении требований к градостроительным регламентам в границах территорий данных зон"
Номер опубликования: 5200202402050005
Дата опубликования: 05.02.2024
Страница №6 из 14:
Увеличить