Официальное опубликование правовых актов
ОФИЦИАЛЬНОЕ ОПУБЛИКОВАНИЕ
Постановление Правительства Нижегородской области от 03.02.2024 № 40
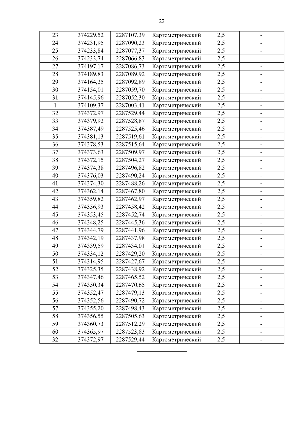
"О реорганизации государственного памятника природы местного значения "Парк и система прудов с. Новая Слобода"
Номер опубликования: 5200202402050002
Дата опубликования: 05.02.2024
Страница №23 из 23:
Увеличить