Официальное опубликование правовых актов
ОФИЦИАЛЬНОЕ ОПУБЛИКОВАНИЕ
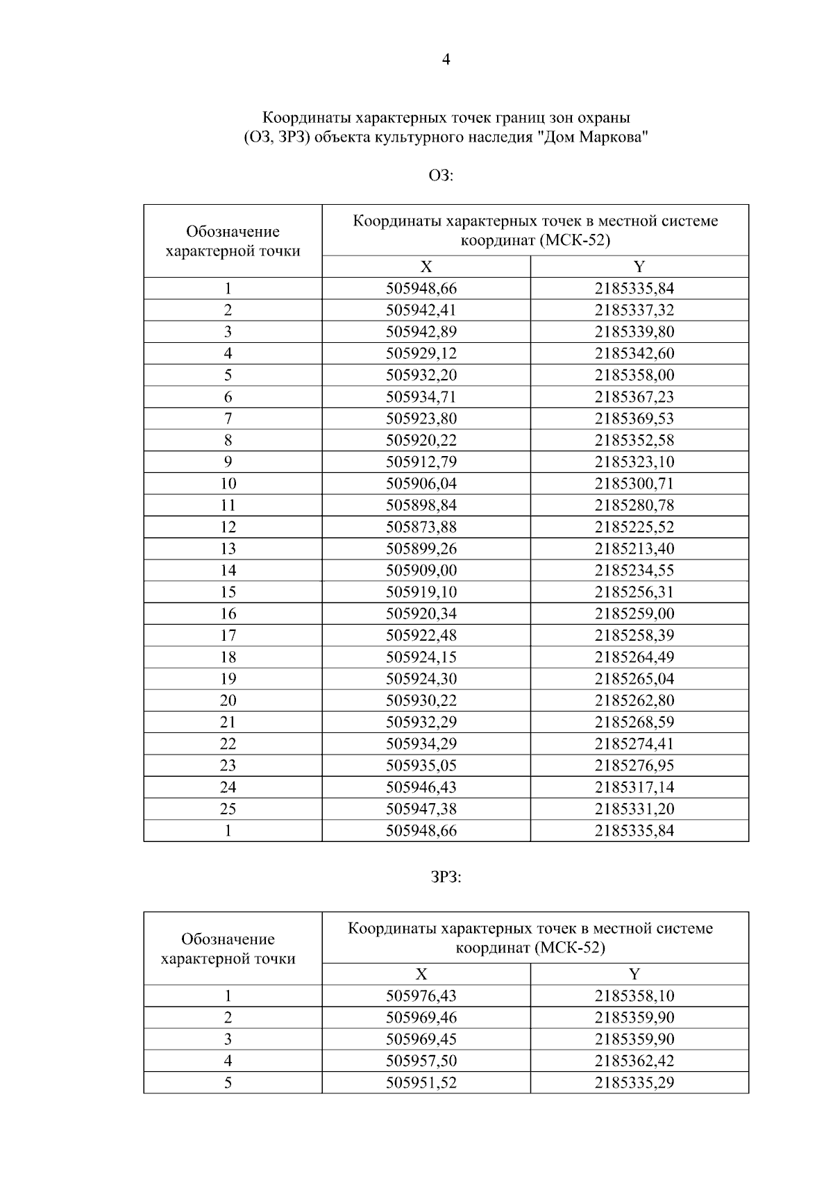
Постановление Правительства Нижегородской области от 12.01.2024 № 4
"Об установлении зон охраны объектов культурного наследия местного (муниципального) значения, расположенных в г. Богородске Нижегородской области, утверждении требований к градостроительным регламентам в границах территорий данных зон"
Номер опубликования: 5200202401150002
Дата опубликования: 15.01.2024
Страница №6 из 35:
Увеличить