Официальное опубликование правовых актов
ОФИЦИАЛЬНОЕ ОПУБЛИКОВАНИЕ
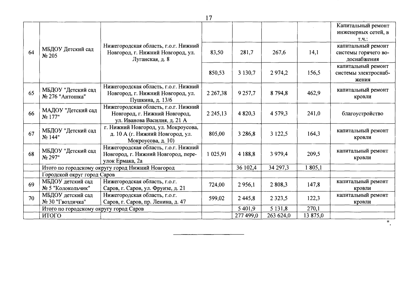
Постановление Правительства Нижегородской области от 31.12.2023 № 1176
"О внесении изменений в государственную программу "Капитальный ремонт образовательных организаций Нижегородской области", утвержденную постановлением Правительства Нижегородской области от 29 марта 2019 г. № 180"
Номер опубликования: 5200202401110001
Дата опубликования: 11.01.2024
Страница №18 из 18:
Увеличить