Официальное опубликование правовых актов
ОФИЦИАЛЬНОЕ ОПУБЛИКОВАНИЕ
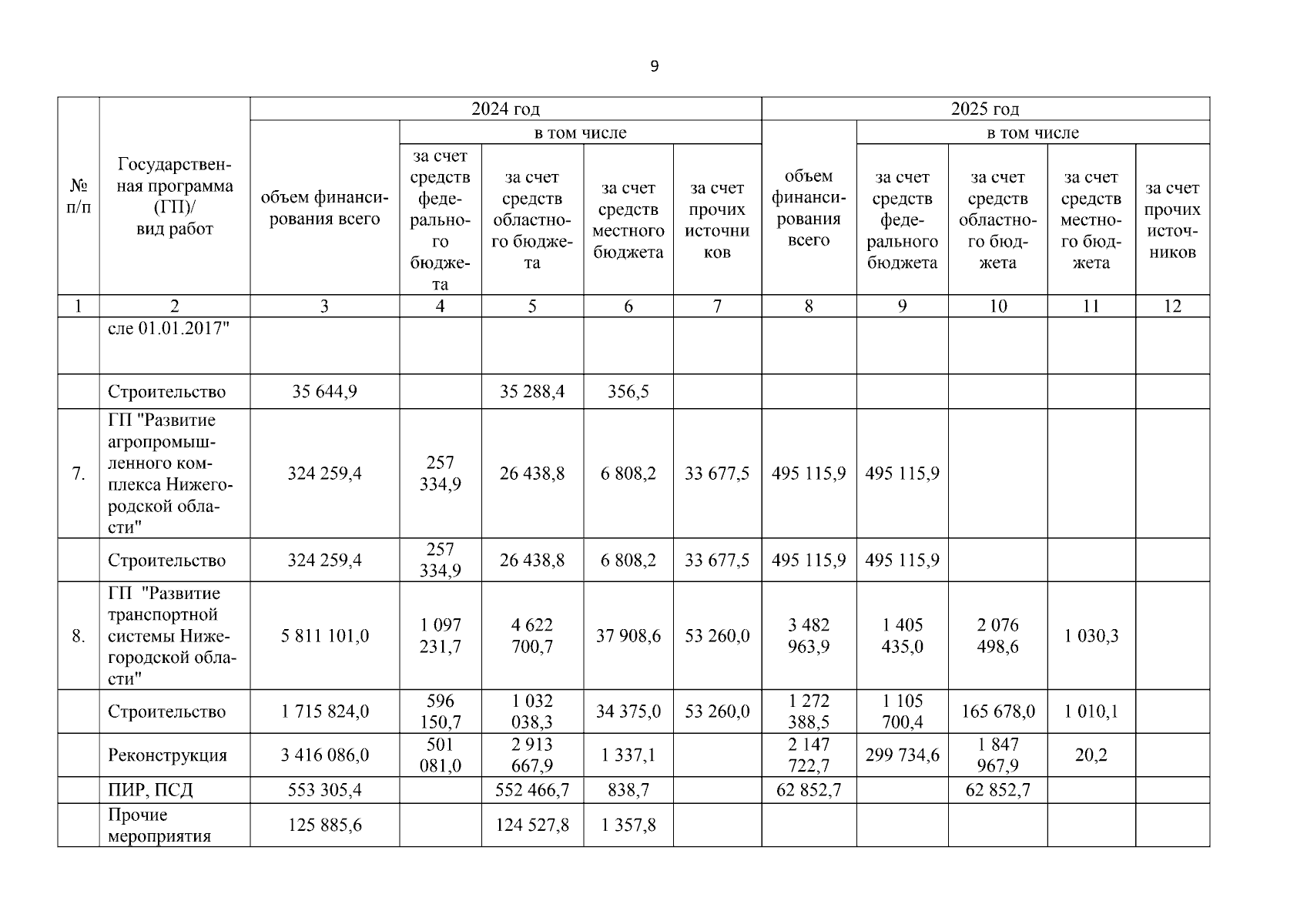
Постановление Правительства Нижегородской области от 29.12.2023 № 1160
"О внесении изменений в Адресную инвестиционную программу Нижегородской области на 2023—2025 годы, утвержденную постановлением Правительства Нижегородской области от 16 декабря 2022 г. № 1082"
Номер опубликования: 5200202312290024
Дата опубликования: 29.12.2023
Страница №27 из 661:
Увеличить