Официальное опубликование правовых актов
ОФИЦИАЛЬНОЕ ОПУБЛИКОВАНИЕ
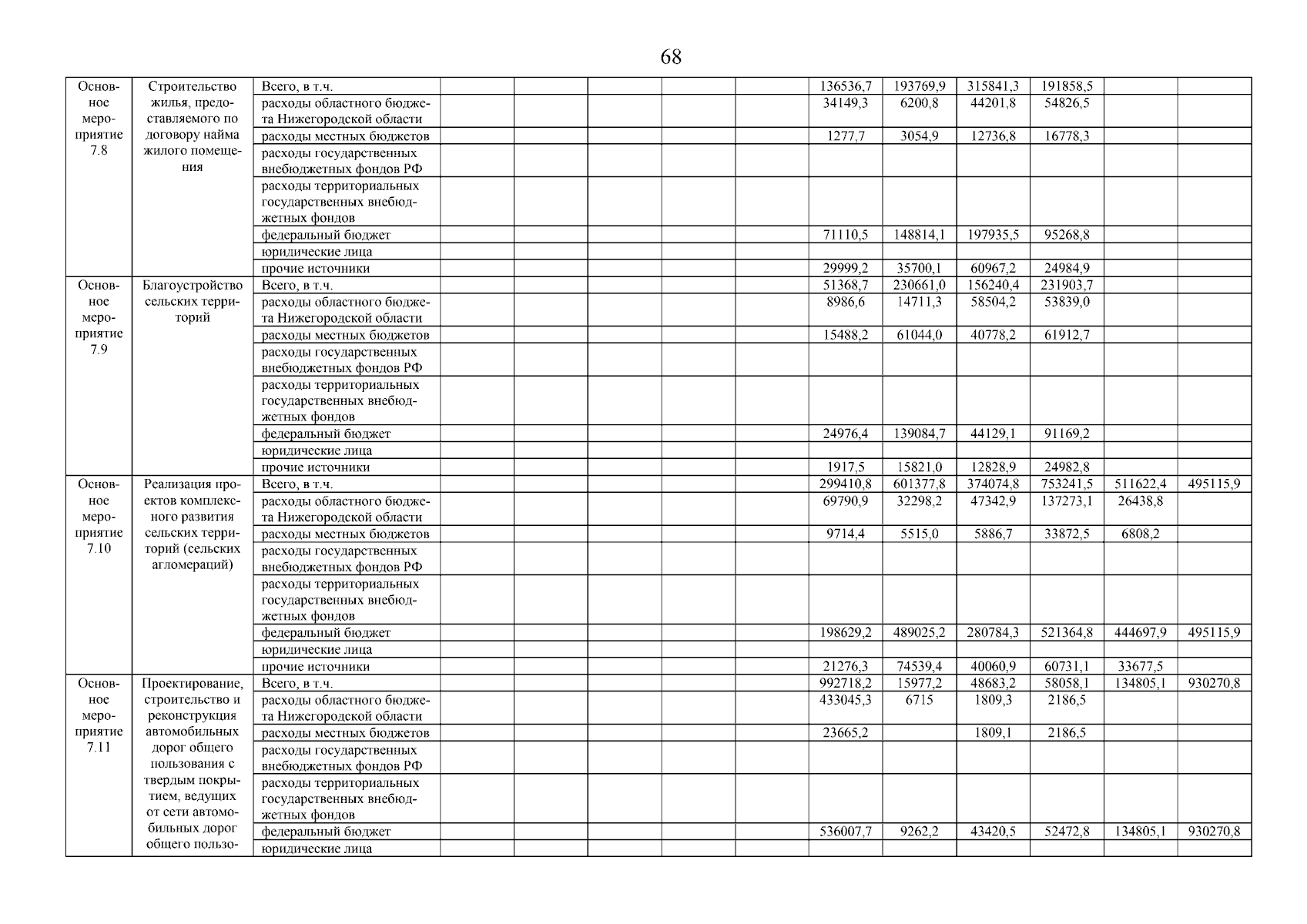
Постановление Правительства Нижегородской области от 28.12.2023 № 1154
"О внесении изменений в государственную программу "Развитие агропромышленного комплекса Нижегородской области", утвержденную постановлением Правительства Нижегородской области от 28 апреля 2014 г. № 280"
Номер опубликования: 5200202312290013
Дата опубликования: 29.12.2023
Страница №69 из 82:
Увеличить