Официальное опубликование правовых актов
ОФИЦИАЛЬНОЕ ОПУБЛИКОВАНИЕ
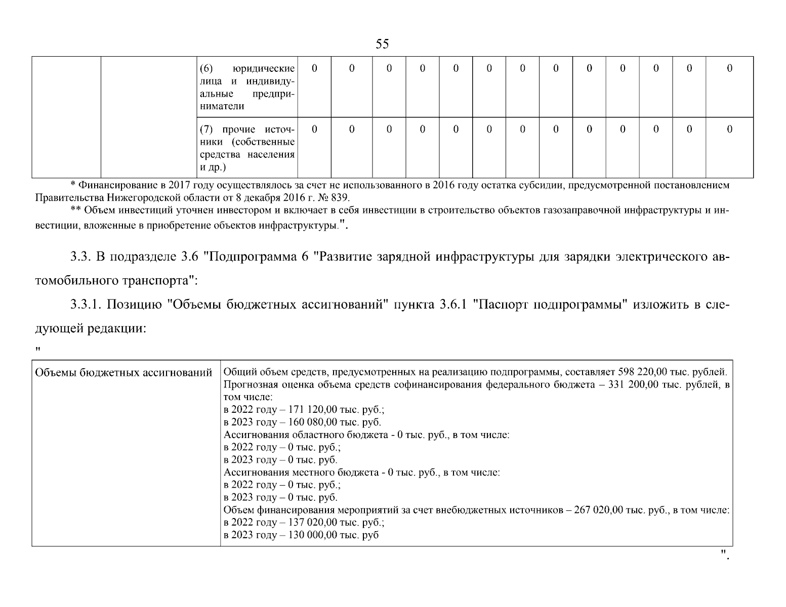
Постановление Правительства Нижегородской области от 25.12.2023 № 1119
"О внесении изменений в государственную программу "Энергоэффективность и развитие энергетики Нижегородской области", утвержденную постановлением Правительства Нижегородской области от 28 апреля 2014 г. № 287"
Номер опубликования: 5200202312260016
Дата опубликования: 26.12.2023
Страница №56 из 59:
Увеличить