Официальное опубликование правовых актов
ОФИЦИАЛЬНОЕ ОПУБЛИКОВАНИЕ
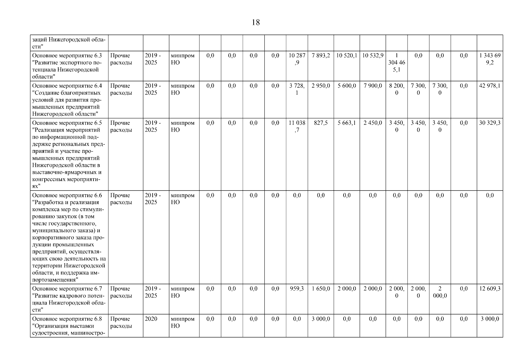
Постановление Правительства Нижегородской области от 18.12.2023 № 1082
"О внесении изменений в государственную программу "Развитие промышленности и инноваций Нижегородской области", утвержденную постановлением Правительства Нижегородской области от 30 апреля 2014 г. № 297"
Номер опубликования: 5200202312200005
Дата опубликования: 20.12.2023
Страница №19 из 131:
Увеличить