Официальное опубликование правовых актов
ОФИЦИАЛЬНОЕ ОПУБЛИКОВАНИЕ
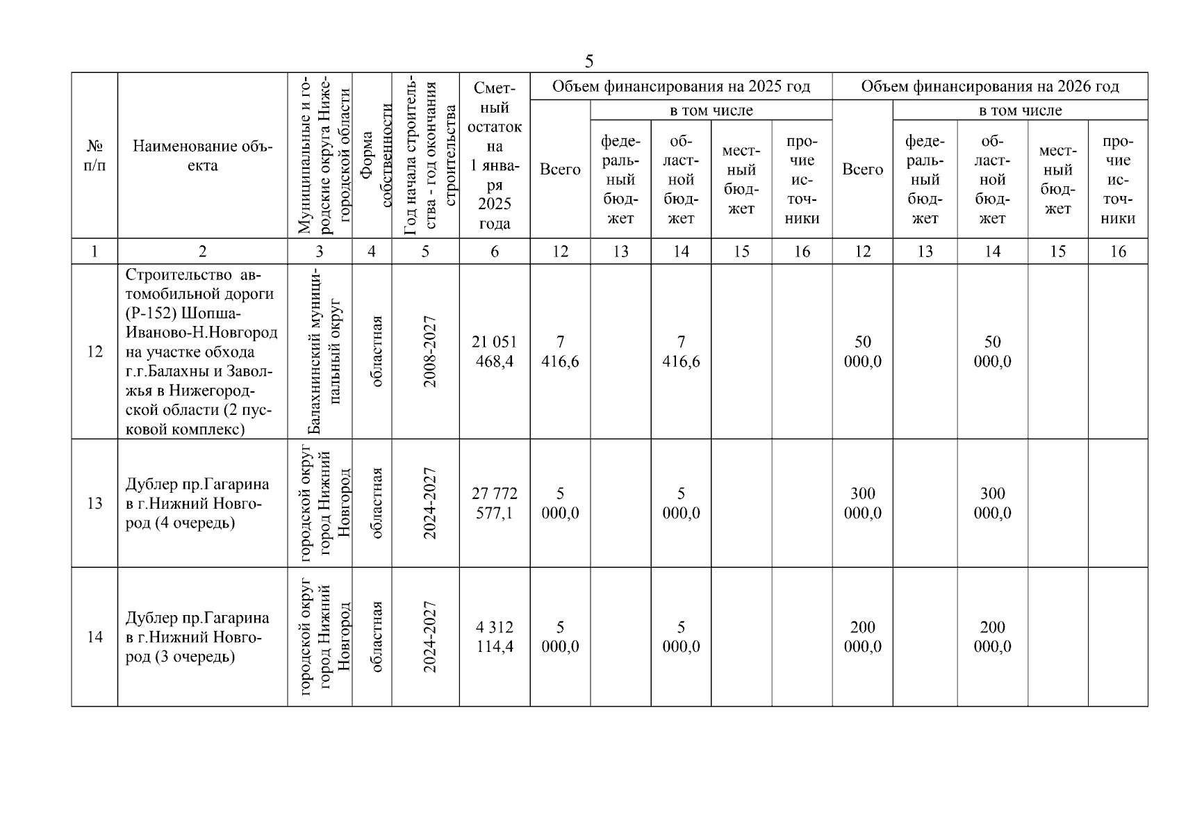
Постановление Правительства Нижегородской области от 18.12.2023 № 1084
"Об утверждении Адресной инвестиционной программы Нижегородской области на 2024—2026 годы"
Номер опубликования: 5200202312200004
Дата опубликования: 20.12.2023
Страница №244 из 256:
Увеличить