Официальное опубликование правовых актов
ОФИЦИАЛЬНОЕ ОПУБЛИКОВАНИЕ
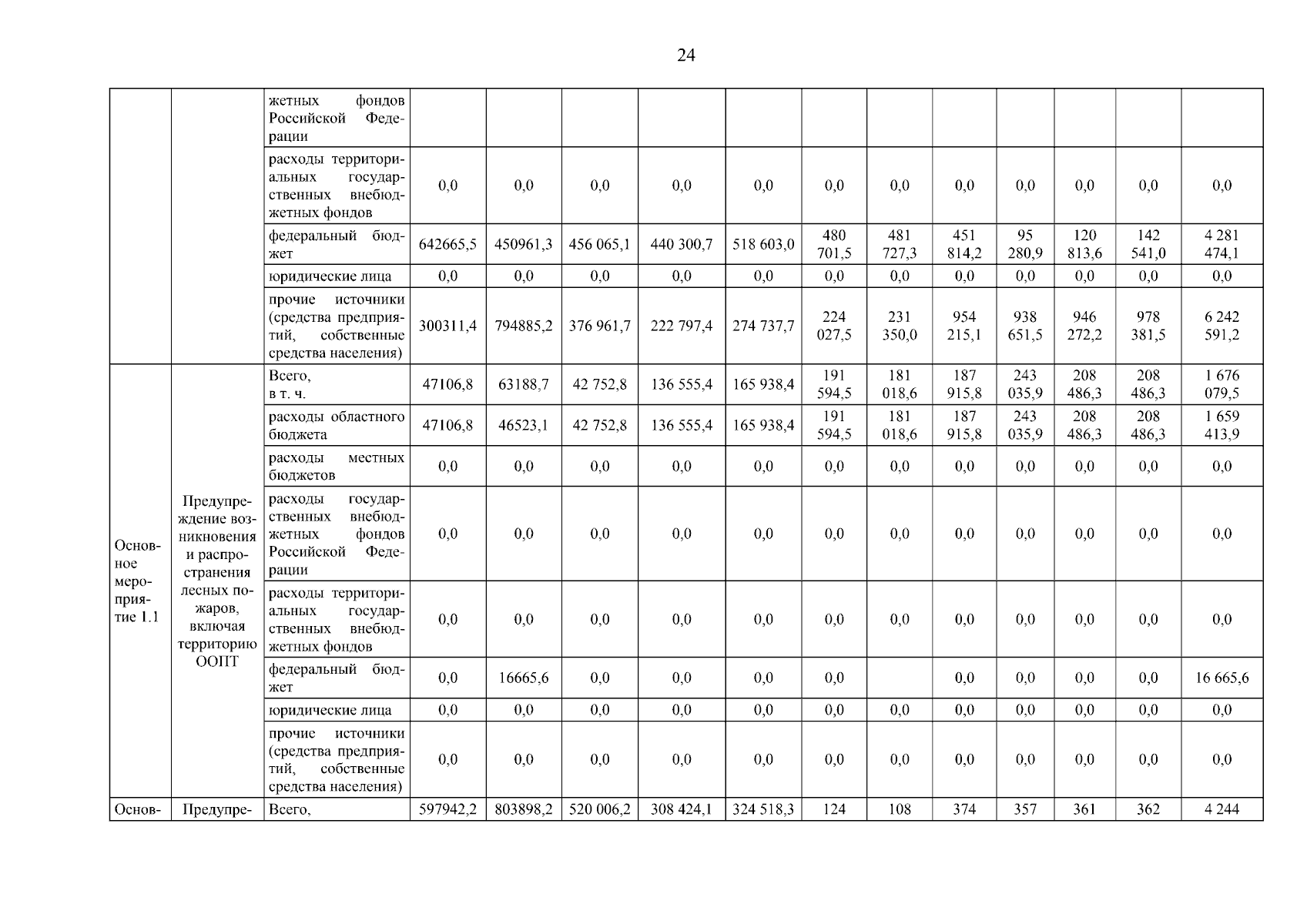
Постановление Правительства Нижегородской области от 11.12.2023 № 1056
"О внесении изменений в государственную программу "Развитие лесного хозяйства Нижегородской области", утвержденную постановлением Правительства Нижегородской области от 28 апреля 2014 г. № 288"
Номер опубликования: 5200202312120012
Дата опубликования: 12.12.2023
Страница №25 из 37:
Увеличить