Официальное опубликование правовых актов
ОФИЦИАЛЬНОЕ ОПУБЛИКОВАНИЕ
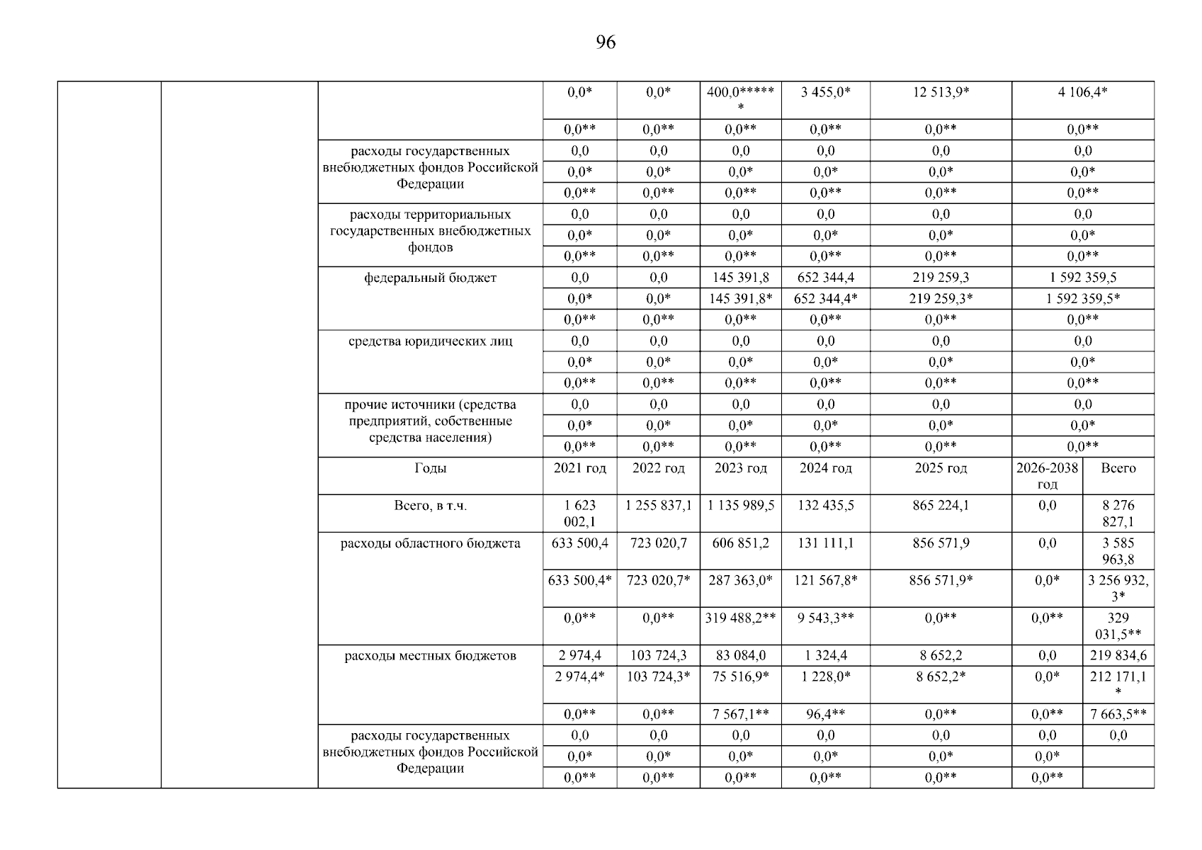
Постановление Правительства Нижегородской области от 06.12.2023 № 1050
"О внесении изменений в государственную программу "Развитие жилищного строительства и государственная поддержка граждан по обеспечению жильем на территории Нижегородской области", утвержденную постановлением Правительства Нижегородской области от 30 апреля 2014 г. № 302"
Номер опубликования: 5200202312080001
Дата опубликования: 08.12.2023
Страница №97 из 154:
Увеличить