Официальное опубликование правовых актов
ОФИЦИАЛЬНОЕ ОПУБЛИКОВАНИЕ
Постановление Правительства Нижегородской области от 05.12.2023 № 1045
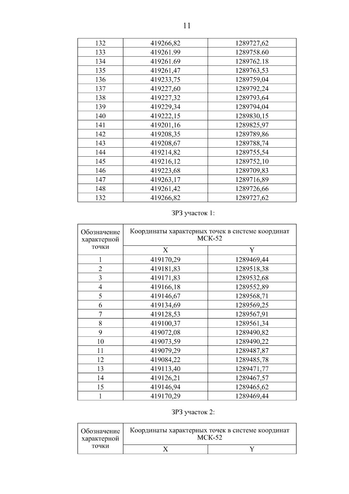
"Об установлении зон охраны объекта культурного наследия регионального значения "Ансамбль застройки квартала" (ул. Островского, 36 (литера А), 26 (литера А); ул. Кутузова, 31 (литера А1), 33 (литера А), 35 (литера А), 37 (литера А), 39 (литера А1), 41 (литера А1); ул. Чкалова, 2 (литера А2), ул. Чкалова 4 (литера А3))‚ расположенного в г. Выкса Нижегородской области, и утверждении требований к градостроительным регламентам в границах территорий данных зон"
Номер опубликования: 5200202312060003
Дата опубликования: 06.12.2023
Страница №13 из 21:
Увеличить