Официальное опубликование правовых актов
ОФИЦИАЛЬНОЕ ОПУБЛИКОВАНИЕ
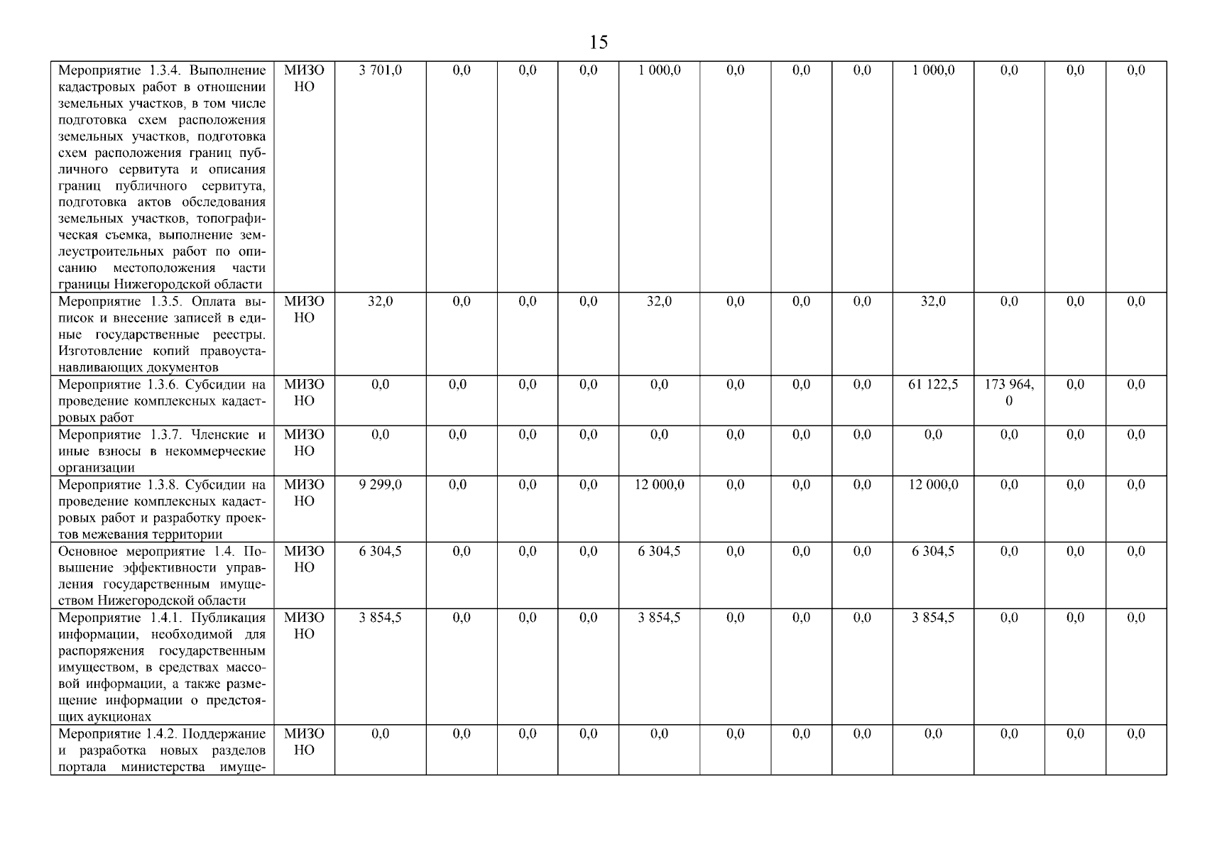
Постановление Правительства Нижегородской области от 04.12.2023 № 1044
"О внесении изменений в государственную программу "Управление государственным имуществом Нижегородской области", утвержденную постановлением Правительства Нижегородской области от 28 апреля 2014 г. № 284"
Номер опубликования: 5200202312060002
Дата опубликования: 06.12.2023
Страница №16 из 20:
Увеличить