Официальное опубликование правовых актов
ОФИЦИАЛЬНОЕ ОПУБЛИКОВАНИЕ
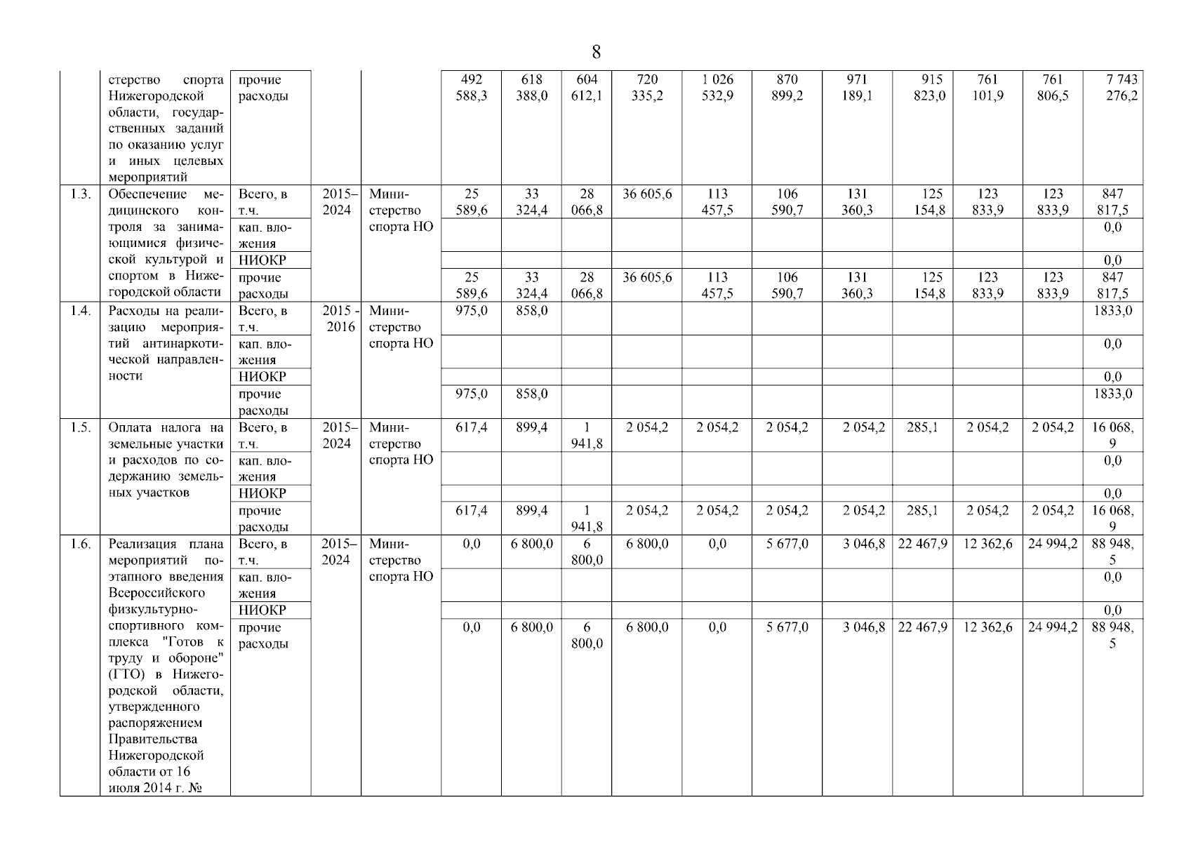
Постановление Правительства Нижегородской области от 24.11.2023 № 1012
"О внесении изменений в государственную программу "Развитие физической культуры и спорта Нижегородской области", утвержденную постановлением Правительства Нижегородской области от 28 апреля 2014 г. № 285"
Номер опубликования: 5200202311280008
Дата опубликования: 28.11.2023
Страница №9 из 44:
Увеличить