Официальное опубликование правовых актов
ОФИЦИАЛЬНОЕ ОПУБЛИКОВАНИЕ
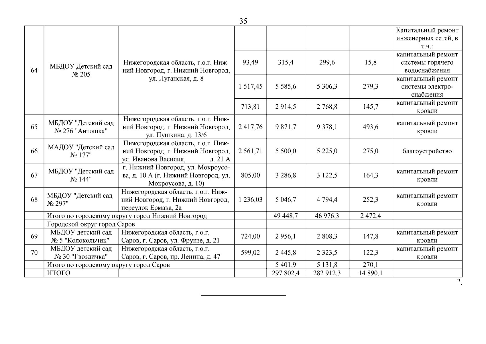
Постановление Правительства Нижегородской области от 13.11.2023 № 983
"О внесении изменений в государственную программу "Капитальный ремонт образовательных организаций Нижегородской области", утвержденную постановлением Правительства Нижегородской области от 29 марта 2019 г. № 180"
Номер опубликования: 5200202311160002
Дата опубликования: 16.11.2023
Страница №36 из 36:
Увеличить