Официальное опубликование правовых актов
ОФИЦИАЛЬНОЕ ОПУБЛИКОВАНИЕ
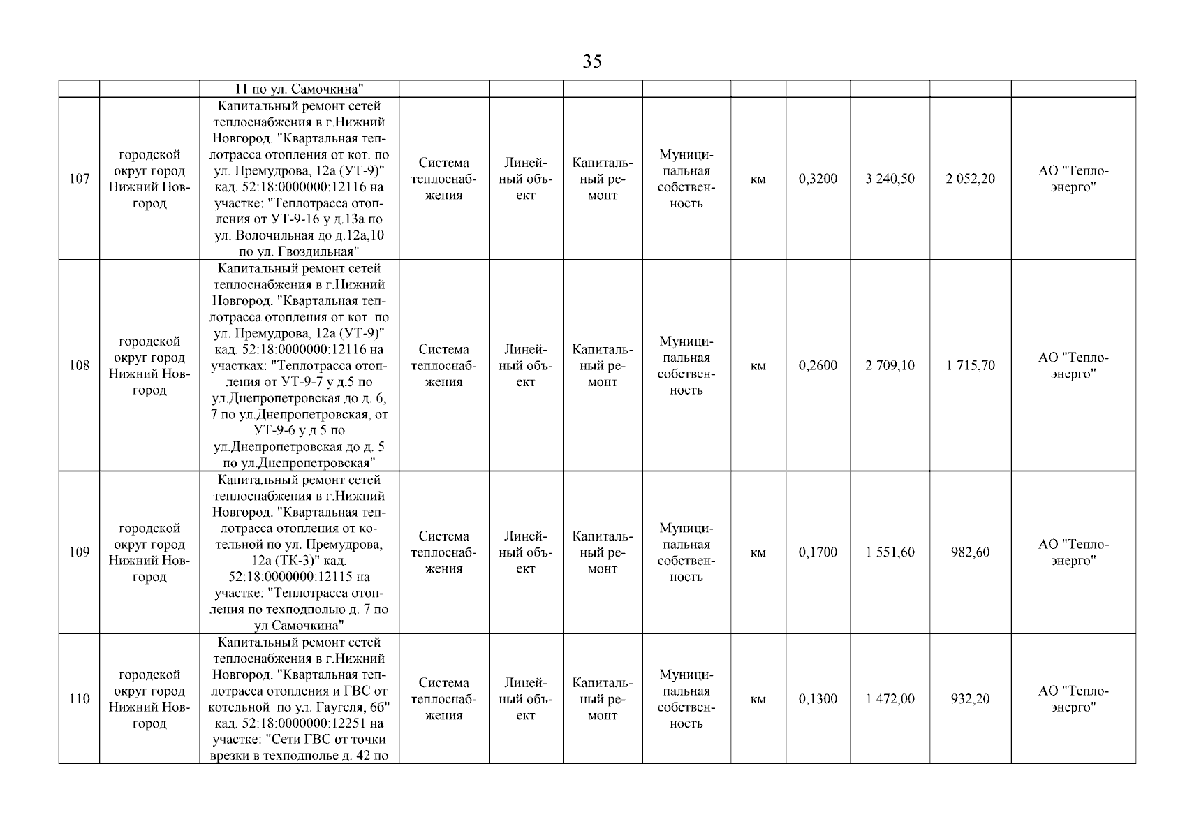
Постановление Правительства Нижегородской области от 02.11.2023 № 970
"О внесении изменений в государственную региональную программу Нижегородской области "Модернизация систем коммунальной инфраструктуры (2023—2027 годы)", утвержденную постановлением Правительства Нижегородской области от 10 июля 2023 г. № 610"
Номер опубликования: 5200202311070002
Дата опубликования: 07.11.2023
Страница №36 из 265:
Увеличить