Официальное опубликование правовых актов
ОФИЦИАЛЬНОЕ ОПУБЛИКОВАНИЕ
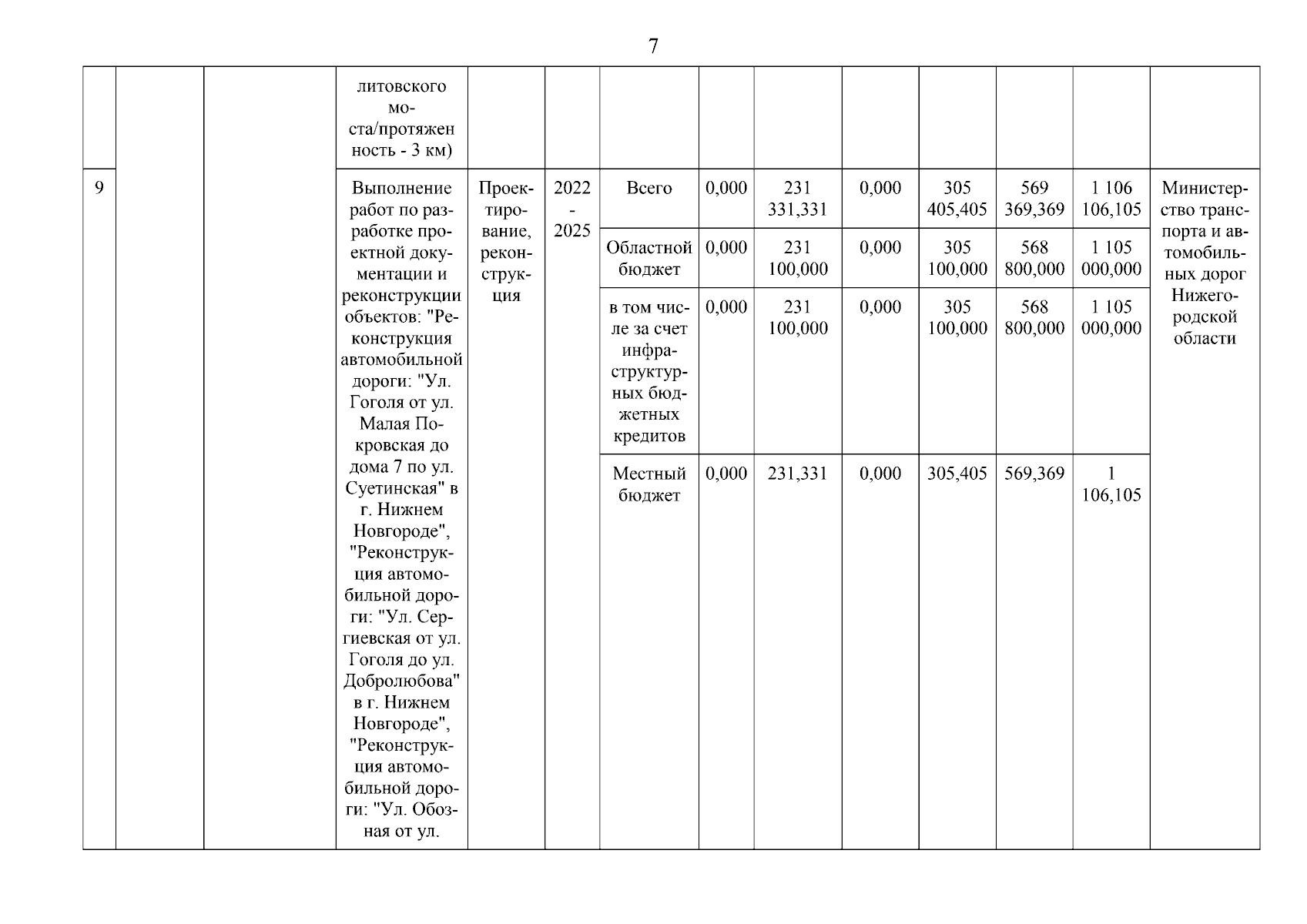
Постановление Правительства Нижегородской области от 11.10.2023 № 920
"О внесении изменения в постановление Правительства Нижегородской области от 29 ноября 2021 г. № 1081"
Номер опубликования: 5200202310120008
Дата опубликования: 12.10.2023
Страница №9 из 11:
Увеличить