Официальное опубликование правовых актов
ОФИЦИАЛЬНОЕ ОПУБЛИКОВАНИЕ
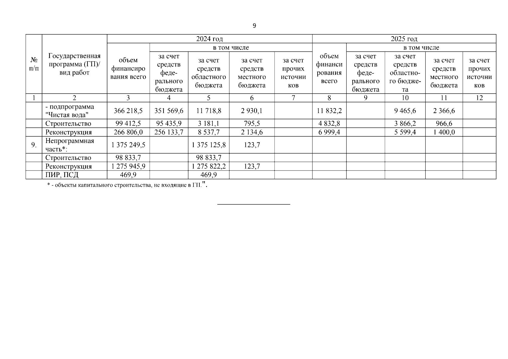
Постановление Правительства Нижегородской области от 25.09.2023 № 870
"О внесении изменений в Адресную инвестиционную программу Нижегородской области на 2023—2025 годы, утвержденную постановлением Правительства Нижегородской области от 16 декабря 2022 г. № 1082"
Номер опубликования: 5200202309260004
Дата опубликования: 26.09.2023
Страница №25 из 417:
Увеличить