Официальное опубликование правовых актов
ОФИЦИАЛЬНОЕ ОПУБЛИКОВАНИЕ
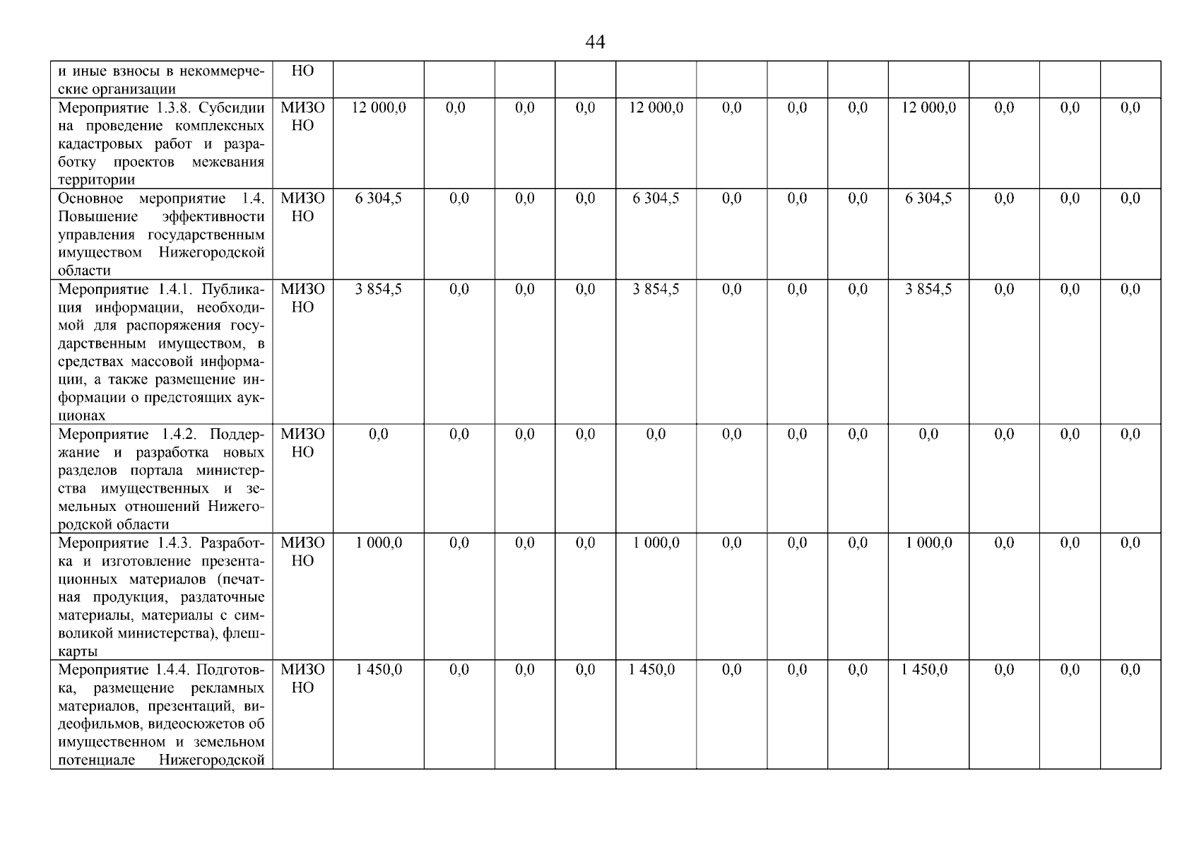
Постановление Правительства Нижегородской области от 18.09.2023 № 846
"О внесении изменений в государственную программу "Управление государственным имуществом Нижегородской области", утвержденную постановлением Правительства Нижегородской области от 28 апреля 2014 г. № 284"
Номер опубликования: 5200202309250016
Дата опубликования: 25.09.2023
Страница №45 из 49:
Увеличить