Официальное опубликование правовых актов
ОФИЦИАЛЬНОЕ ОПУБЛИКОВАНИЕ
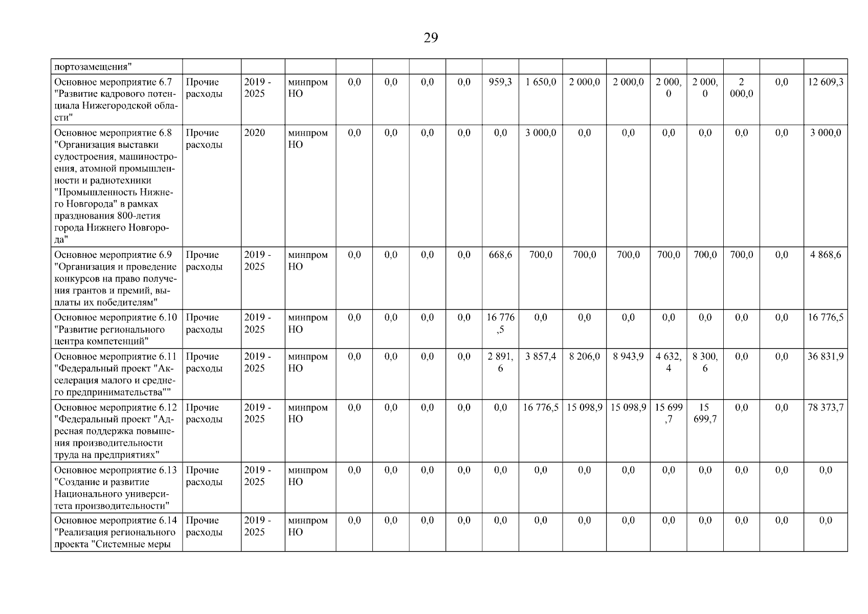
Постановление Правительства Нижегородской области от 13.09.2023 № 831
"О внесении изменений в государственную программу "Развитие промышленности и инноваций Нижегородской области", утвержденную постановлением Правительства Нижегородской области от 30 апреля 2014 г. № 297"
Номер опубликования: 5200202309190016
Дата опубликования: 19.09.2023
Страница №30 из 188:
Увеличить