Официальное опубликование правовых актов
ОФИЦИАЛЬНОЕ ОПУБЛИКОВАНИЕ
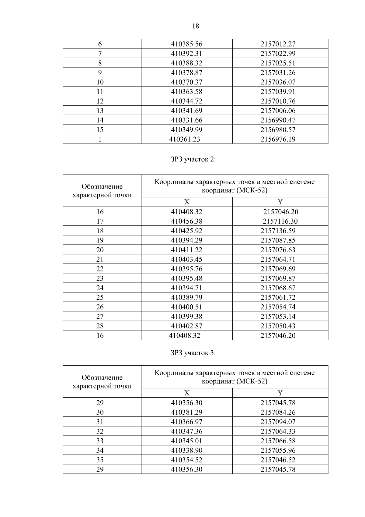
Постановление Правительства Нижегородской области от 29.08.2023 № 786
"Об установлении зон охраны объектов культурного наследия регионального значения, расположенных в р.п. Ардатов Нижегородской области, утверждении требований к градостроительным регламентам в границах территорий данных зон"
Номер опубликования: 5200202308300006
Дата опубликования: 30.08.2023
Страница №20 из 34:
Увеличить