Официальное опубликование правовых актов
ОФИЦИАЛЬНОЕ ОПУБЛИКОВАНИЕ
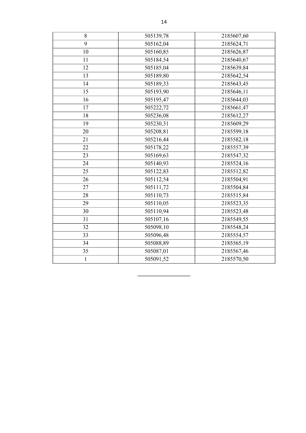
Постановление Правительства Нижегородской области от 29.08.2023 № 789
"Об установлении зон охраны объектов культурного наследия, расположенных в г. Богородск Нижегородской области, и утверждении требований к градостроительным регламентам в границах территорий данных зон"
Номер опубликования: 5200202308300001
Дата опубликования: 30.08.2023
Страница №16 из 28:
Увеличить