Официальное опубликование правовых актов
ОФИЦИАЛЬНОЕ ОПУБЛИКОВАНИЕ
Указ Губернатора Нижегородской области от 25.08.2023 № 207
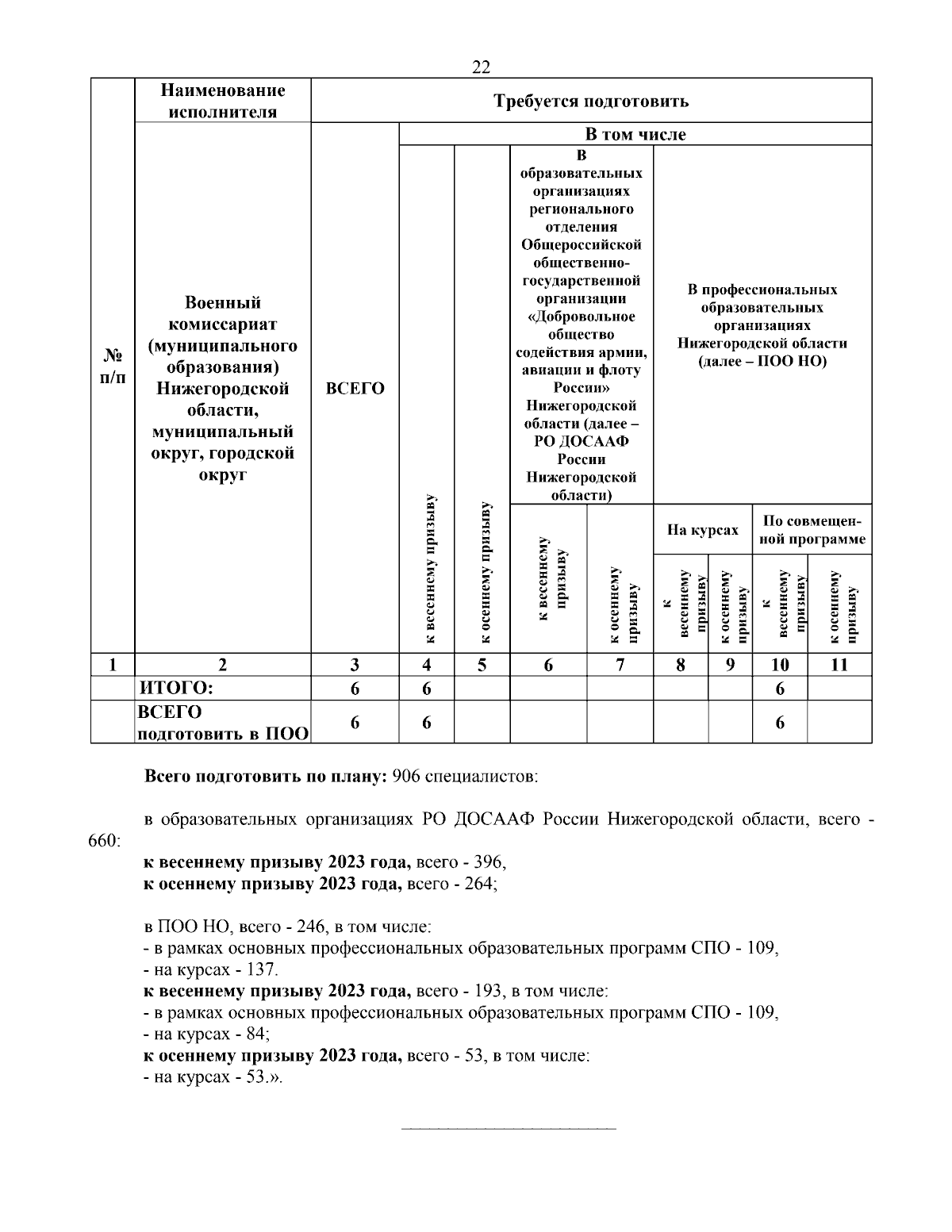
"О внесении изменения в План распределения заданий по подготовке специалистов для Вооруженных Сил Российской Федерации по военным комиссариатам (муниципальных образований) Нижегородской области, образовательным организациям регионального отделения Общероссийской общественно-государственной организации "Добровольное общество содействия армии, авиации и флоту России" Нижегородской области и профессиональным образовательным организациям Нижегородской области в 2022-2023 учебном году, утвержденный Указом Губернатора Нижегородской области от 29 сентября 2022 г. № 191"
Номер опубликования: 5200202308280011
Дата опубликования: 28.08.2023
Страница №23 из 23:
Увеличить