Официальное опубликование правовых актов
ОФИЦИАЛЬНОЕ ОПУБЛИКОВАНИЕ
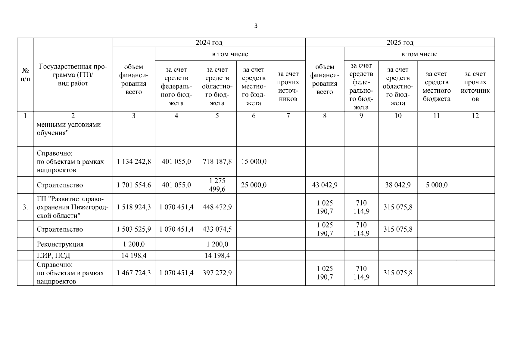
Постановление Правительства Нижегородской области от 09.08.2023 № 730
"О внесении изменений в Адресную инвестиционную программу Нижегородской области на 2023—2025 годы, утвержденную постановлением Правительства Нижегородской области от 16 декабря 2022 г. № 1082"
Номер опубликования: 5200202308100011
Дата опубликования: 10.08.2023
Страница №16 из 439:
Увеличить