Официальное опубликование правовых актов
ОФИЦИАЛЬНОЕ ОПУБЛИКОВАНИЕ
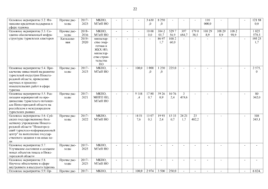
Постановление Правительства Нижегородской области от 04.08.2023 № 712
"О внесении изменений в государственную программу "Развитие культуры и туризма Нижегородской области", утвержденную постановлением Правительства Нижегородской области от 30 апреля 2014 г. № 299"
Номер опубликования: 5200202308080018
Дата опубликования: 08.08.2023
Страница №23 из 91:
Увеличить