Официальное опубликование правовых актов
ОФИЦИАЛЬНОЕ ОПУБЛИКОВАНИЕ
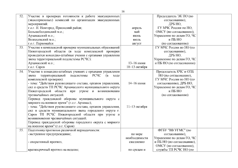
Распоряжение Правительства Нижегородской области от 22.07.2023 № 822-р
"Об утверждении Плана основных мероприятий Нижегородской области по вопросам гражданской обороны, предупреждения и ликвидации чрезвычайных ситуаций, обеспечения пожарной безопасности и безопасности людей на водных объектах на 2023 год"
Номер опубликования: 5200202307240006
Дата опубликования: 24.07.2023
Страница №19 из 32:
Увеличить