Официальное опубликование правовых актов
ОФИЦИАЛЬНОЕ ОПУБЛИКОВАНИЕ
Постановление Правительства Нижегородской области от 18.07.2023 № 645
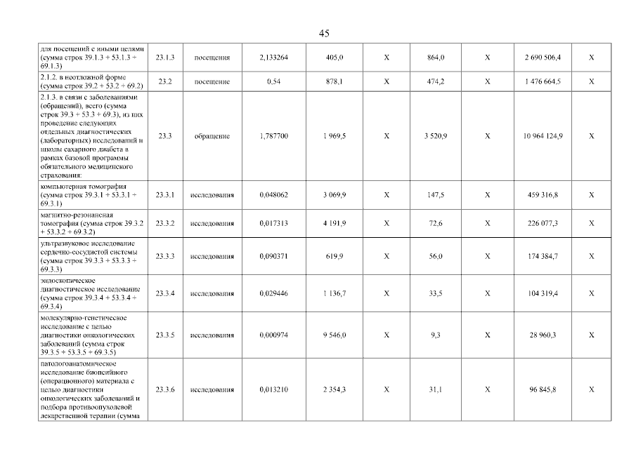
"О внесении изменений в Программу государственных гарантий бесплатного оказания населению Нижегородской области медицинской помощи на 2023 год и на плановый период 2024 и 2025 годов, утвержденную постановлением Правительства Нижегородской области от 29 декабря 2022 г. № 1160"
Номер опубликования: 5200202307200002
Дата опубликования: 20.07.2023
Страница №52 из 68:
Увеличить