Официальное опубликование правовых актов
ОФИЦИАЛЬНОЕ ОПУБЛИКОВАНИЕ
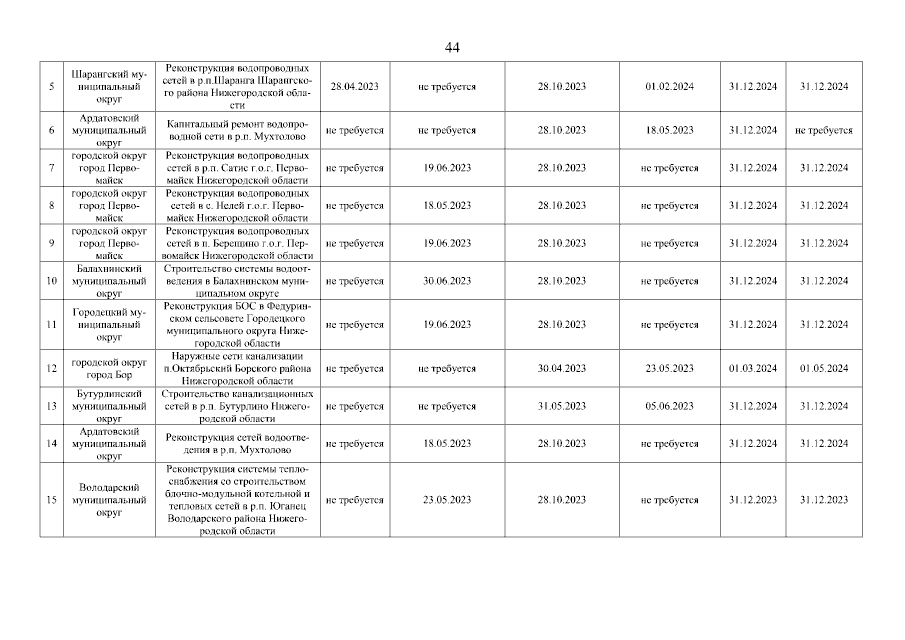
Постановление Правительства Нижегородской области от 10.07.2023 № 610
"Об утверждении государственной региональной программы Нижегородской области "Модернизация систем коммунальной инфраструктуры (2023—2027 годы)"
Номер опубликования: 5200202307130001
Дата опубликования: 13.07.2023
Страница №46 из 59:
Увеличить