Официальное опубликование правовых актов
ОФИЦИАЛЬНОЕ ОПУБЛИКОВАНИЕ
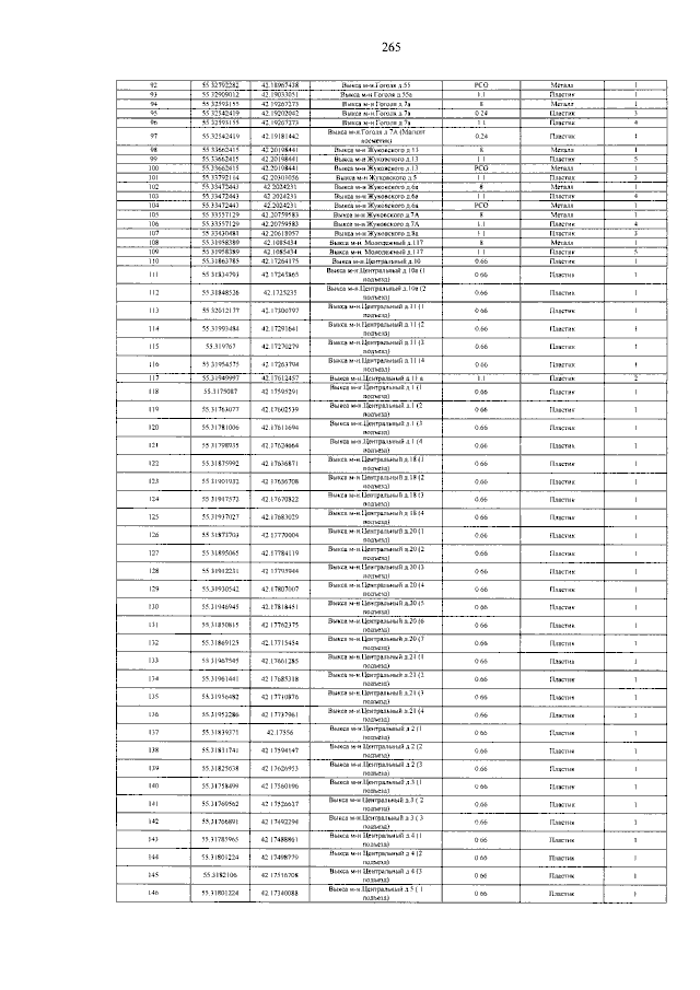
Постановление Правительства Нижегородской области от 03.07.2023 № 597
"О внесении изменений в территориальную схему обращения с отходами, в том числе с твердыми коммунальными отходами, на территории Нижегородской области, утвержденную постановлением Правительства Нижегородской области от 18 ноября 2019 г. № 843"
Номер опубликования: 5200202307070019
Дата опубликования: 07.07.2023
Страница №266 из 703:
Увеличить