Официальное опубликование правовых актов
ОФИЦИАЛЬНОЕ ОПУБЛИКОВАНИЕ
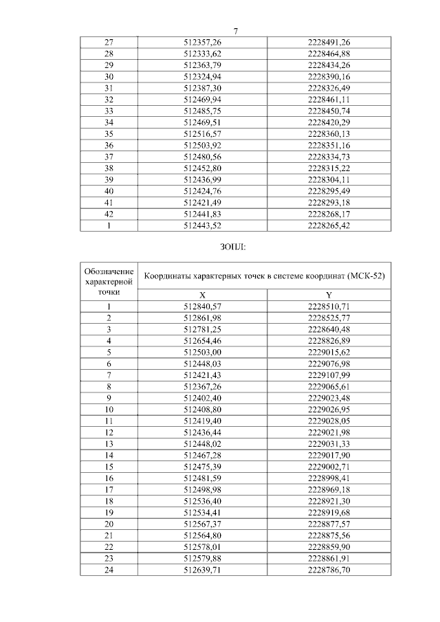
Постановление Правительства Нижегородской области от 23.06.2023 № 557
"Об установлении зон охраны объекта культурного наследия регионального значения "Парк липовый Курбатова" в г. Кстово Нижегородской области и утверждении требований к градостроительным регламентам в границах территорий данных зон"
Номер опубликования: 5200202306270003
Дата опубликования: 27.06.2023
Страница №9 из 14:
Увеличить